Select the INCORRECTLY spelt word.
Stagnation
Recognition
Defination
Ammunition
Select the most appropriate option to substitute the underlined segment in the given sentence. If there is no need to substitute
it, select ‘No substitution required.’
Our school has been issued instructions to restrict online classes to two hours towards the primary classes.
from
No substitution required
for
into
Select the most appropriate word to fill in the blank.
The captain, with the members of the team, ______ given a hearty welcome at the airport yesterday.
are
was
is
were
Select the most appropriate ANTONYM of the given word.
APPROACH
reach
meet
near
avoid
Select the most appropriate meaning of the given idiom.
Change for the better
Exchange an old product for new
Pretend to be someone else
To keep loose change
An improvement in the situation
Select the most appropriate synonym of the given word.
VACANT
used
busy
full
bare
Select the most appropriate one-word substitution for the given group of words.
To fall apart as a result of decay
Disintegrate
Dislocate
Discontinue
Dishevelled
Select the most appropriate synonym of the given word.
APPEASE
irritate
excite
worsen
pacify
Select the most appropriate ANTONYM of the given word.
TARDY
late
slow
lazy
early
Select the most appropriate word to fill in the blank.
Everyone was amazed ______ the young child’s courage.
on
at
in
of
Identify the segment in the sentence which contains a grammatical error.
India has always believe in the value of the family system.
always believe in
the value of
India has
the family system
Select the most appropriate option to substitute the underlined segment in the given sentence. If there is no need to substitute
it, select ‘No substitution required’.
I am not use to eat spicy and oily food.
use to eating
No substitution required
used to eating
used to eat
Select the most appropriate option to substitute the underlined segment in the given sentence.
Ritu goes to Singapore for her holidays last December.
was going to Singapore
went to Singapore
has gone to Singapore
had gone to Singapore
Select the most appropriate word to fill in the blank.
Mother tried to ______ the child when he was crying for a toy.
disturb
absorb
attract
distract
Select the most appropriate word to fill in the blank.
Pets are good ______ for lonely people.
guides
nurses
substitutes
companions
Select the most appropriate meaning of the given idiom.
Loosen the purse strings
To reduce the expenditure
To increase the money available for expenditure
To lose a purse
To be miserly
Identify the segment in the sentence which contains a grammatical error.
I know she is much superior from me in intelligence.
in intelligence
she is much
I know
superior from me
Select the INCORRECTLY spelt word.
Patient
Allready
Intend
Disrupt
Identify the segment in the sentence which contains a grammatical error.
A vacation is the time to relax and break up from the routine.
A vacation is
break up
time to relax
from the routine
Select the most appropriate one-word substitution for the given group of words.
A plan of what is to be done and when
Meeting
Schedule
Scheme
Occupation
In the following passage some words have been deleted. Fill in the blanks with the help of the alternatives given. Select the most
appropriate option for each blank.
Every living species of our planet has changed or is changing. Some (1)______, such as the pre-historic sabre-toothed tiger (2)______ died
out and some are (3)______ dying out. Sometimes new species appear. The dog is (4)______ species which man has caused to (5)______
from the wolf.
Question:
Select the most appropriate option to fill in blank no. 1.
samples
specimens
strains
species
In the following passage some words have been deleted. Fill in the blanks with the help of the alternatives given. Select the most
appropriate option for each blank.
Every living species of our planet has changed or is changing. Some (1)______, such as the pre-historic sabre-toothed tiger (2)______ died
out and some are (3)______ dying out. Sometimes new species appear. The dog is (4)______ species which man has caused to (5)______
from the wolf.
Question:
Select the most appropriate option to fill in blank no. 2.
had
has
have
having
In the following passage some words have been deleted. Fill in the blanks with the help of the alternatives given. Select the most
appropriate option for each blank.
Every living species of our planet has changed or is changing. Some (1)______, such as the pre-historic sabre-toothed tiger (2)______ died
out and some are (3)______ dying out. Sometimes new species appear. The dog is (4)______ species which man has caused to (5)______
from the wolf.
Question:
Select the most appropriate option to fill in blank no. 3.
regularly
gradually
deliberately
readily
In the following passage some words have been deleted. Fill in the blanks with the help of the alternatives given. Select the most
appropriate option for each blank.
Every living species of our planet has changed or is changing. Some (1)______, such as the pre-historic sabre-toothed tiger (2)______ died
out and some are (3)______ dying out. Sometimes new species appear. The dog is (4)______ species which man has caused to (5)______
from the wolf.
Question:
Select the most appropriate option to fill in blank no. 4.
a
the
an
only
In the following passage some words have been deleted. Fill in the blanks with the help of the alternatives given. Select the most
appropriate option for each blank.
Every living species of our planet has changed or is changing. Some (1)______, such as the pre-historic sabre-toothed tiger (2)______ died
out and some are (3)______ dying out. Sometimes new species appear. The dog is (4)______ species which man has caused to (5)______
from the wolf.
Question:
Select the most appropriate option to fill in blank no. 5.
expand
derive
emerge
evolve
Which two signs should be interchanged to make the given equation correct?
7 + 3 − 24 ÷ 6 × 12 = 29
+ and ×
÷ and ×
+ and −
× and −
In a certain code language, 'WRITE' is written as 'RWIET', and 'MONTHLY' is written as 'NOMTYLH'. How will 'AMSTERDAM' be
written in that language?
TSMAEMADR
STNAEMAER
STMAEAMER
TSNAEFADR
Select the option figure which is NOT embedded in the given figure as its part (rotation is NOT allowed).





Two statements are given followed by two conclusions numbered I and II. Assuming the statements to be true, even if they
seem to be at variance with commonly known facts, decide which of the conclusions logically follow(s) from the statements.
Statements:
No onion is a lemon.
No lemon is a potato.
Conclusions:
I. No onion is a potato.
II. No potato is a lemon.
Neither conclusion I nor II follows
Both conclusions I and II follow
Only conclusion II follows
Only conclusion I follows
In a certain code language, 'FREEDOM' is written as '618222241213'. How will 'SUPINE' be written in that language?
19062191322
19211191422
19616181422
18617181422
Select tbe Venn diagram that best illustrates the relationship among the following classes.
Engineers, Indians, Ladies




Two statements are given, followed by two conclusions numbered I and II. Assuming the statements to be true, even if they
seem to be at variance with commonly known facts, decide which of the conclusions logically follow(s) from the statements.
Statements:
Some rings are calendars.
All rings are caps.
Conclusions:
I. All calendars are rings.
II. At least some calendars are caps
Both conclusions I and II follow
Only conclusion I follows
Only conclusion II follows
Neither conclusion I nor II follows
Which of the following numbers will replace the question mark (?) in the given series?
5, 20, 65, 200, ?
575
605
1005
1055
Select the option that is related to the third letter-cluster in the same way as the second letter-cluster is related to the first letter-cluster.
MONKEY : STRDJP :: TORQUE : ?
WTYJZV
WSQJZV
WTYJMB
WTYLBV
Study the given pattern carefully and select the number that can replace the question mark (?) in it.
15 12 90
16 13 104
12 18 ?
129
119
100
108
A paper is folded and cut as shown in the given figures. How will it appear when unfolded?





Five friends are sitting around a circular table facing the centre of the table. Abhishek is sitting to the immediate left of Sharad.
Joseph is to the immediate right of Wasim. Vishal is third to the left of Wasim. Who is sitting between Joseph and Abhishek?
Either Wasim or Vishal
Either Wasim or Sharad
Vishal
Wasim
Select the correct combination of mathematical signs to replace the * signs and balance the given equation.
25 * 5 * 6 * 15 * 3 * 50
÷, ×, −, +, =
+, ×, −, ÷, =
×, ÷, +, −, =
×, +, ÷, −, =
Eight friends A, B, C, D, E, F, G and H are sitting clockwise around a circular table in the same sequence at equal distances facing
the centre of the table. If C is sitting in the south direction, then who is sitting in the north-west direction?
G
H
F
E
Select the option that is related to the third word in the same way as the second word is related to the first word.
Bed : Sleep :: Chair : ?
Jump
Wood
Sit
Balance
Which of the following numbers will replace the question mark (?) in the given series?
40, 41, 50, 75, 124, ?
205
257
232
264
Select the figure that ,will replace the question mark (?) in the following figure series.





In a certain code language, 'TURNIP' is written as '239597', and 'QUEEN' is written as '83555'. How will 'LEMON' be written in that
language?
35465
45587
45658
20584
Which of the following letter-clusters will replace the question mark (?) in the given series?
NYD, MXC, LWB, KVA, ?
JUZ
JUY
JTZ
LTZ
Select the option that is related to the third word in the same way as the second word is related to the first word.
Amphibian : Frog :: Reptile : ?
Lizard
Cockroach
Kangaroo
Mouse
Select the option that is related to the third number in the same way as the second number is related to the first number.
2 : 54 :: 4 : ?
270
200
250
225
Select the option figure that will replace the question mark (?) in the figure given below to complete the pattern.





If H > M = D > P and K = H > T > Z, then which of the following options is NOT correct?
H > D
Z < H
P < M
Z > M
Select the correct mirror image of the given combination when the mirror is placed at MN as shown below.





In a certain code language, 'FACTOR' is written as 'JEGXSV'. How will 'MARINA' be written in that language?
QEVMRE
PFVMRF
REUORE
QEHMSE
Study the given pie chart and answer the question that follows:
The pie chart shows the break-up of the total number of employees of a company in 2019, in five departments A, B, C, D and E.
Total number of employees = 4500

If 30% of the employees in department B are transferred to department D, then the difference between the number of employees
in department C and D is , which lies between:
176 and 180
168 and 172
172 and 176
164 and 168
A rectangular plot is 420 m long and 84 m wide. lt is surrounded by semi-circular flower beds along all its sides. The area of the
entire plot (in hectares) is
. The value of
(correct to one decimal place) is (Taken
):
19.1
18.7
17.9
19.4
If (a + b) : (b + c) : (c + a) = 7 : 4 : 5 , and a + b + c = 16, then ( a2 + b2 + c2 ) : (ab + bc + ca) is equal to:
24:17
26:19
27:20
23:15
A can do a piece of work in 8 days. The efficiency of B is half the efficiency of A, and the efficiency of C is 50% more than the
efficiency of B. If all the three work together, what part of the work will they finish in 2 days?



A and B can do a certain work in 25 days and 40 days, respectively. They work together for 8 days. C alone completes the
remaining work in 24 days. A and C together will complete 60% of the same work in:
8 days
9 days
10 days
12 days
A sum of Rs7,560 is divided between A, B, C and D such that the ratio of the shares of A and B is 4:5. that of B and C is 3:4 and
that of C and D is 5:7. What is the difference (in Rs) between the shares of B and D?
1,612.80
1,310.40
806.40
1,209.60
The value of 145 − [125 − {64 ÷ 8 of 4 − (4 × 8 ÷ 2)}] is:
6
5
7
8
Study the given pie chart and answer the question that follows:
The pie chart shows the break-up of the total number of employees of a company in 2019, in five departments A, B, C, D and E.
Total number of employees = 4500

If the ratio of male employees to female employees in department A is 3:4. then the number of employees in department C is
what percentage more than the number of female employees in departmnent A (nearest to an integer)?
45
42
40
41
A sum was invested at simple interest at x p.a. for 2 years. Had it been invested at ( x + 4)% , for the same time, it would have
fetched Rs1,800 more. What is the simple interest on the same sum for
years at 8% p.a.?
Rs10,200
Rs10,336
Rs9,520
Rs10,064
A train of length 240 m crosses a pole in 16 seconds and crosses a platform in 42 seconds. What is the length (in m) of the
platform?
400
360
420
390
Let x be the smallest 4-digit number such that when it is divided by 5, 6 and 7, it leaves the remainders 2, 3 and 4, respectively.
The sum of the digits of x is:
8
11
12
14
Study the given data and answer the question that follows.

If x is the lower limit of the median class and y is the upper limit of the modal class, then the value of ( 3x +2y) is:
80
90
70
100
The marked price of an article is Rs4,450. A shopkeeper allows a discount of 10% on it and gets a profit of 20%. The cost price
(in Rs) of the article is:
3,240.50
3,180.00
3,337.50
3,260.00
A sum of Rs 3,364 is divided in to two parts such that the amounts received on them after 3 years and 5 years, respectively, is the
same when the rate of interest is 5% p.a., compounded yearly. The difference between the two parts is:
Rs180
Rs166
Rs164
Rs160
The radius of a metallic solid sphere is 21.6 cm. It is melted and drawn into a wire of uniform cross section. If the length of the
wire is 259.2 m, then ihe radius of the wire is:
0.9 cm
0.8 cm
0.54 cm
0.72 cm
When an article is sold for Rs 1,188, the percentage profit earned is x When it is sold for Rs1,435.50, then the percentage profit is
( x + 25 )%. What is the value of x ?
18
15
20
10
The ratio of two numbers A and B is 5:6. If 8 is subtracted from each of them, then the ratio becomes 4:5. What is the sum of A
and B?
121
110
88
99
Kapil rows
km against the current in 15 minutes and the same distance along the current in 8 minutes. What is the speed (in
km/h) of the current?

4

5
By selling an article for Rs 882, a person loses 10%. If he sells it for Rs 991.76, then the percentage loss/profit is:
Profot, 1.2%
loss, 5%
profit, 12%
loss, 1.5%
Surekha did 24% of the expense of her monthly income on grocery items, 16% on rent, and 55% of the remaining on children's
education and other expense. If she saves Rs5,940, then find out the expense on rent.
3,960
3,740
3,300
3,520
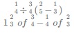
The value of
is:
8/195
7/195
4/195
2/195
The ratio of the number of boys and girls in a class is 5:7. The average weight of boys is 56 kg and that of girls is 50 kg. What is
ihe average weight (in kg) of all the boys and girls in the class?
52.5
51.8
54.1
53.2
The average of 12 numbers is 25.5. The average of the first six numbers is 22.4 and that of the last three numbers is 28.2. The
7th number is 5 less than the 8th number but 10 less than the 9th number. What is the average of the 8th and 9th numbers.
32.6
29.4
29.8
31.5
Study the given pie chart and answer the question that follows:
The pie chart shows the break-up of the total number of employees of a company in 2019, in five departments A, B, C, D and E.

Total number of employees - 4500
The average number of employees of the company in departments D and E is what percentage of the number of employees in
department A (correct to one decimal place)?
56.2 %
54.4%
55.8%
55.5%
Which of the following instruments is normally played in a vertical position and with an arched bow?
Sitar
Sarangi
Shehnai
Veena
Rukmini Devi Arundale is associated with which of the following dance forms?
Kathakali
Bharatnatyam
Kathak
Kuchipudi
Who among the following was appointed as Finance Secretary in March 2020?
Satish Kumar Sharma
Bimal Julka
Amita Pandove
Ajay Bhushan Pandey
The ‘Second Backward Classes Commission’ in 1979 was headed by:
Jai Prakash Narayan
BP Mandal
VK Sahni
BR Ambedkar
Which of the following table tennis players won ITTF challenger plus oman open 2020?
anthony amalraj
subhajit saha
sharat kamal
sanil shetty
What is the name of the property of iron through which hot iron can be converted into the shape of a knife?
malleability
lustrousness
ductility
sonority
Who murdered the british officer mical o dayar who is responsible for jallianwala bagh massacre?
ram prasad bismil
udham singh
chandrashekhar azad
bhagat singh
Which of the following mirror is used in vehicles as a headlight?
Double Convex mirror
Plane mirror
Concave mirror
Convex mirror
Kanchenjunga biosphere reserve is located in which of the following states?
Jharkhand
Sikkim
Himachal
Kerala
Who among the following won the All England Open Badminton Championship Men’s Singles 2020 title?
Chou Tien-chen
Lee Chong Wei
Lin Dan
Viktor Axelsen
In mughal empire ruler, what is the general meaning of diwani?
Law and order and criminal justice administration
criminal justice and jail administration
Revenue administration
criminal justice system
Who is doing the presiding of the joint session of the parliament?
Cabinet minister of parliamentary affairs
lok sabha speaker
rajya sabha deputy chairman
rajya sabha chairman
As per a survey conducted in 2019-2020 by the World Bank, what is India’s global rank in the category of ‘New Firms Created’?
Second
First
Sixth
Third
What percent of the total geographical area of the world does India account for (rounded off to nearest whole number)?
4
2
5
1
‘The fluid present between joints, that makes the movement of joints easy, is called:’
Bursae
Synovial
Cartilage
Tendon
In which year did the Government of India introduce value-added tax (VAT) as an indirect tax in the Indian taxation system to
replace the existing general sales tax?
2005
2011
2013
2007
Which of the following jain festivals is celebrated by the shwetambar community for eight days and digambar community for ten
days?
gyan panchami
kartik purnima
navpad oli
paryushan parv
Sarita Joshi, one of the recipients of Padma Shri 2020, has received the award in the domain of:
Public Affairs
Literature and Education
Art
Trade & Industry
What is the minimum amount which can be remitted through Real Time Gross Settlement (RTGS)?
Rs2,00,000
Rs3,00,000
Rs5,00,000
Rs1,00,000
As per Article 80 of the Constitution of India, the total number of members of the Rajya Sabha cannot be more than:
260
250
235
240
Which of the following has taken charge as the new prime minister of Iraq in may 2020?
mustafa al kadhimi
adel abdullah mehendi
adnan al jaffri
mohammed allawi
Which of the following converts glucose into glycogen (a complex carbohydrate used for storage) and amino acids into
proteins?
Liver
Lungs
Small intestine
Large intestine
Who was the last king of the Mauryan dynasty?
Devavarman
Satadhanvan
Brihadratha
Samprati
Naharkatia oil region is in which state?
Assam
West Bengal
Maharashtra
gujarat
What is the coloured ring of tissue behind the cornea called, that regulates the amount of light entering the eye, by adjusting the
size of the pupil?
Fovea
Retina
Choroid
Iris