Multiple Choice Questions on If a point x y in a OXY plane is equidistant from 1 1 and 4 3 then ........ for Study NOtes Preparation

Back to Main Page

Multiple Choice Questions

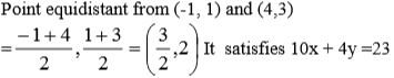
If a point x y in a OXY plane is equidistant from 1 1 and 4 3 then ........

What our students have to say
Download Abhipedia Android App

Access to prime resources

Downlod from playstore
download android app download android app for free