send mail to support@abhimanu.com mentioning your email id and mobileno registered with us! if details not recieved
Resend Opt after 60 Sec.
By Loging in you agree to Terms of Services and Privacy Policy
Claim your free MCQ
Please specify
Sorry for the inconvenience but we’re performing some maintenance at the moment. Website can be slow during this phase..
Please verify your mobile number
Login not allowed, Please logout from existing browser
Please update your name
Subscribe to Notifications
Stay updated with the latest Current affairs and other important updates regarding video Lectures, Test Schedules, live sessions etc..
Your Free user account at abhipedia has been created.
Remember, success is a journey, not a destination. Stay motivated and keep moving forward!
Refer & Earn
Enquire Now
My Abhipedia Earning
Kindly Login to view your earning
Support
Before solving the numerical on this chapter make sure that you are perfect with the chapter of square and square roots, simplification, linear and quadratic equations and decimal fractions.
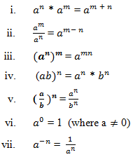
Surd: Number which cannot be expressed in the fraction form of two integers is called as surd. Hence, the numbers in the form of √3, 3√2, ……. n√x
For example: a3 is a number with an index of 3 and base ‘a’. It is called as “a to the power of 3”Irrational numbers which contain the radical sign (√ ) are called as surds. Indices: Indices refers to the power to which a number is raised. Index is used to show that a number is repeatedly multiplied by itself.
1) Any number raised to the power zero is always equals to one. (Eg: x 0 = 1) 2) Surd n√x can be simplified if factor of x is a perfect square 3) If denominator in a fraction has any surds, then rationalize the denominator by multiplying both numerator and denominator by a conjugate surd. 4) Every surd is an irrational number, but every irrational number is not a surd. 5) The conjugate of (2 + 7i) is (2 – 7i) 6) Different expressions can be simplified by rationalizing the denominator and eliminating the surd.
By: Atul Sambharia ProfileResourcesReport error
Access to prime resources
New Courses