Multiple Choice Questions on The length of the shadow of a tower standing on level ground is found to 2x meter longer when the su........... for Mathematics - All Exams Preparation

Back to Main Page

Multiple Choice Questions

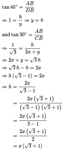
The length of the shadow of a tower standing on level ground is found to 2x meter longer when the su...........

What our students have to say
Download Abhipedia Android App

Access to prime resources

Downlod from playstore
download android app download android app for free