Multiple Choice Questions on The least value of 9 cosec2 A 16 sin2 A is ........ for Mathematics - All Exams Preparation

Back to Main Page

Multiple Choice Questions

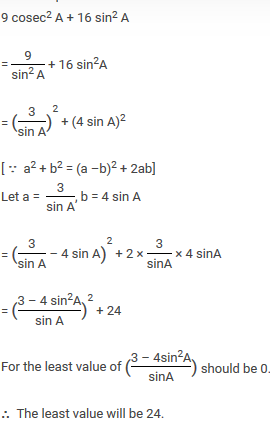
The least value of 9 cosec2 A 16 sin2 A is ........

What our students have to say
Download Abhipedia Android App

Access to prime resources

Downlod from playstore
download android app download android app for free