send mail to support@abhimanu.com mentioning your email id and mobileno registered with us! if details not recieved
Resend Opt after 60 Sec.
By Loging in you agree to Terms of Services and Privacy Policy
Claim your free MCQ
Please specify
Sorry for the inconvenience but we’re performing some maintenance at the moment. Website can be slow during this phase..
Please verify your mobile number
Login not allowed, Please logout from existing browser
Please update your name
Subscribe to Notifications
Stay updated with the latest Current affairs and other important updates regarding video Lectures, Test Schedules, live sessions etc..
Your Free user account at abhipedia has been created.
Remember, success is a journey, not a destination. Stay motivated and keep moving forward!
Refer & Earn
Enquire Now
My Abhipedia Earning
Kindly Login to view your earning
Support
Mixture and Alligation is the topic which is asked in almost all the competative exam. We are sharing Important Short tricks on Mixture and alligation topic. These short tricks will help you all in solving the question in minimum time. So let's study Basic Concept and Tricks on Mixture and alligation which will be very helpful for upcoming competative Exam.
Alligation
(i) To find the mean or average value of mixture: When the prices of two or more ingredients which may be mixed together and the proportion in which they mixed are given (this is alligation Method) .
(ii) To find the proportion in which the ingredients at given prices must be mixed to produce a mixture at a given price. This is alligation Alternate .
Note:
(1) The word alligation literally means linking. The rule takes its name from the lines or links used in working out questions on mixture.
(2)Alligation method is applied to a percentage value, ratio, rate, prices, speed etc and it is not applicable for absolute values. It means whenever percent, per hour, per kg, per km etc, are being compared, we can use alligation .
When two or more components are mixed together then it is known as Mixture
Mixture is of two types they are:
1.Simple Mixture:When two or more different ingredients are mixed together,a simple mixture is formed .
2.Compound Mixture:When two or more simple mixtures are mixed together, a compound mixture is formed .
It enables us to find the ratio in which two or more ingredients at the given price must be mixed to produce a mixture of desired price.
ALLIGATION RULE:
This rule helps us in solving questions where two varieties (of different prices) are mixed to get a new variety with a new Average price.
Then, (Cheaper quantity) : (dearer quantity) = (d – m) : (m – c)
⇒
Question 1: In what ratio should tea at the rate Rs 40/kg be mixed with tea at the rate Rs 27/kg, so that mixture may cost Rs 30 kg ?
Solution: Using the above formula
So, the two should be mixed in the ratio 10/3.=10:3
Question 2: In what proportion must sugar at Rs 13.40 per kg be mixed with sugar at Rs 13.65 per kg, so that the mixture be worth Rs 13.20 a kg ?
Solution:
∴ They must be mixed in the ratio 9 : 4.
When quantities Qi of ingredients Mi’s with the cost Ci’s are mixed then cost of the mixture Cm is given by
Question 3: 5 kg of rice of Rs. 6 per kg is mixed with 4 kg of rice to get a mixture costing Rs. 7 ker kg. Find the price of the costlier rice ?
Solution: Let the price of the costlier rice be Rs. x.
By direct formula,
⇒ 63 – 30 = 4x
⇒ 4x = 33
⇒ x = 33/4=8.25
Remember that in compound mixture, same mixtures i.e. mixtures of same ingredients are mixed together in different proportion to make a new mixture .
Let Mixture 1 has ingredients A and B in ratio a : b and Mixture 2 has ingredients A and B in ratio x : y .
Now, M unit of mixture 1 and N unit of mixture 2 are mixed to form compound mixture. Then, in the resultant mixture, the ratio of A and B is
(i)
And, Quantity of A in resultant mixture
Quantity of B in resultant mixture
(ii) When qA and qB are known and M and N have to be found out
And, Quantity of mixture 1
Q1/(Q1+Q2)× Quantity of resultant mixture
Quantity of mixture 2
Q2/(Q1+Q2) × Quantity of resultant mixture
(i) Let a vessel contains Q unit of mixture of ingredients A and B. From this, R unit of mixture is taken out and replaced by an equal amount of ingredient B only.
If this process is repeated n times, then after n operations
and Quantity of B left = Q – Quantity of A Left
(ii) Let a vessel contains Q unit of ingredient A only. From this R unit of ingredient A is taken out and replaced by an equal amount of ingredient B.
Quantity of A left =
Quantity of B = 1 – Quantity of A left
Question 4: A dishonest hair dresser uses a mixture having 5 parts pure After shave lotion and 3 parts of pure water. After taking out some portion of the mixture, he adds equal amount of pure water to the remaining portion of the mixture such that the amount of Aftershave lotion and water become equal. The part of the mixture taken out is
Solution: (2) Let quantity of pure After shave lotion = 5kg
and quantity of pure water = 3 kg
∴ Total quantity of the mixture = 8 kg
Again let x kg of mixture is taken out of 8kg of mixture.
Now, the amount of Aftershave lotion left = (5-5x/8)kg
and the amount of water left = (3-3x/8) kg
∴ The amount of water after adding x kg of water becomes:
kg
According to question,
⇒ x=8/5
⇒ 1/5 of the 8 kg mixture is taken out.
If in x litres mixture of A and B, the ratio of A and B is a : b, the quantity of B to be added in order to make the ratio c : d is
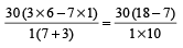
Question 5: The ratio of water and milk in a 30 litres mixture is 7 : 3. Find the quantity of water to be added to the mixture in order to make this ratio 6 : 1.
Solution: In this Question the ratio of water : milk is given and water is further added. But in the above formula ratio of A : B is given and quantity B is added. So the formula in this changed scenario becomes :
Quantity of B added =
∴ Required quantity =
=30 x 11/10= 33 litres.
A mixture contains A and B in the ratio a : b. If x litres of B is added to the mixture, A and B become in the ratio a : c. Then the quantity of A in the mixture is given by and that of B is given by .
Question 6: A mixture contains beer and soda in the ratio of 8 : 3. On adding 3 litres of soda, the ratio of beer to soda becomes 2 : 1 (i.e., 8 : 4) . Find the quantity of beer and soda in the mixture.
Solution: Quantity of beer in the mixture = =24 liters
and the quantity of soda in the mixture = = 9 litres.
By: Munesh Kumari ProfileResourcesReport error
Access to prime resources
New Courses