Chat with us
    Abhipedia

    Common University Entrance Test (CUET)

    (5/5) 10 Reviews
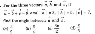
    This Multiple Choice Questions is part of Vector's Micro-Course

    Let's Discuss

    FREE TRIAL
    Micro-Course

    Want to master

    Vector?

    Get complete preparation with our comprehensive topic-based course

    Excel through Micro-Courses

    Universe of 20,000+ Micro-Courses across 50+ exams

    EXAMS AT ABHIPEDIA

    abhipedia

    India's most trusted platform for competitive exam preparation. Join millions of aspirants achieving their dreams with our comprehensive courses and study materials.

    Quick Links

    Resources

    Contact Us