send mail to support@abhimanu.com mentioning your email id and mobileno registered with us! if details not recieved
Resend Opt after 60 Sec.
By Loging in you agree to Terms of Services and Privacy Policy
Claim your free MCQ
Please specify
Sorry for the inconvenience but we’re performing some maintenance at the moment. Website can be slow during this phase..
Please verify your mobile number
Login not allowed, Please logout from existing browser
Please update your name
Subscribe to Notifications
Stay updated with the latest Current affairs and other important updates regarding video Lectures, Test Schedules, live sessions etc..
Your Free user account at abhipedia has been created.
Remember, success is a journey, not a destination. Stay motivated and keep moving forward!
Refer & Earn
Enquire Now
My Abhipedia Earning
Kindly Login to view your earning
Support
Type your modal answer and submitt for approval
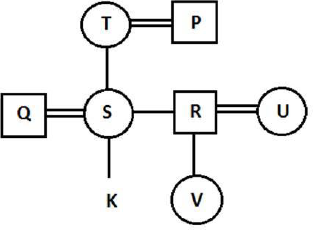
Direction: Each of these questions consists of a question followed by information in two statements I and II. You have to study the question and the statements and decide that the information in which of the statement/s is/are required to answer the question. In the following question, the symbols *, %, #, @, &, $, and © are used with the following meanings as illustrated below. A * B = A is the father of B A % B = A is the sister of B A @ B = A is the mother of B A # B = A is the brother of B A & B = A is the husband of B A $ B = A is the son of B A © B = A is the daughter of B
There are three married couples and S is not married to K and V is unmarried, then who is the uncle of K?
I. P * R, T @ S, R & U, Q * K, V © R, P & T.
II. P @ U, Q * S, T % K, R * V, S & T, V & P.
Only statement I is sufficient
Only statement II is sufficient
Either statement I or statement II is sufficient
Neither statement I nor statement II sufficient
Both statements I and II are sufficient
From statement I: P * R, T @ S, R & U, Q * K, V © R, P & T
Hence, R is the uncle of K.
From statement II: P @ U, Q * S, T % K, R * V, S & T, V & P
Clearly, only statement I is sufficient.
By: Munesh Kumari ProfileResourcesReport error
Access to prime resources
New Courses