send mail to support@abhimanu.com mentioning your email id and mobileno registered with us! if details not recieved
Resend Opt after 60 Sec.
By Loging in you agree to Terms of Services and Privacy Policy
Claim your free MCQ
Please specify
Sorry for the inconvenience but we’re performing some maintenance at the moment. Website can be slow during this phase..
Please verify your mobile number
Login not allowed, Please logout from existing browser
Please update your name
Subscribe to Notifications
Stay updated with the latest Current affairs and other important updates regarding video Lectures, Test Schedules, live sessions etc..
Your Free user account at abhipedia has been created.
Remember, success is a journey, not a destination. Stay motivated and keep moving forward!
Refer & Earn
Enquire Now
My Abhipedia Earning
Kindly Login to view your earning
Support
Type your modal answer and submitt for approval
Direction: In the following questions a number of statements are given. Read the question carefully and determine which statements are necessary to answer the question. Choose the appropriate option accordingly and mark you answer.
Find the total length of wall built by 2 Men and 3 Women when working together.
Statement I: A man takes 20 days to build that wall alone while 1 woman takes 24 days to build the same wall alone.
Statement II: A man takes 10 days to build half of that wall alone while 1 woman takes 8 days to build one – third of the same wall alone and length of wall build in 1 day by a man is 6 meters
Statement III: Total lengths of wall build in 1 day when all the 5 workers work together is 27 meters.
If the data in statement II alone is sufficient to answer the question
If the data in both statements I and II together is sufficient to answer the question
If the data either in statement I and III is sufficient to answer the question
If the data either in statement II alone or I and III are sufficient to answer the question
Any two of them together are sufficient
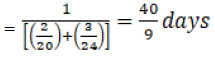
Statement II: Number of days taken by 1 man to build the wall working alone = 10*2=20 days
Number of days taken by 1 woman to build the wall working alone = 8*3=24 days
Length of wall build in 1 day by a man is 6 meters Length of wall build in 1 day by a woman is 5 meters Total number of days taken to build the wall when all the 5 workers work together
Total lengths of wall build in 40/9 day when all the 5 workers work together
= Hence, statement II alone is sufficient
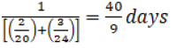
From I and III Total number of days taken to build the wall when all the 5 workers work together =
Total lengths of wall build in 1 day when all the 5 workers work together is 27 meters.
Total lengths of wall build in 40/9 day when all the 5 workers work together =
Hence, statement I and III together are sufficient.
So option (4) is the correct answer.
By: Munesh Kumari ProfileResourcesReport error
Access to prime resources
New Courses