send mail to support@abhimanu.com mentioning your email id and mobileno registered with us! if details not recieved
Resend Opt after 60 Sec.
By Loging in you agree to Terms of Services and Privacy Policy
Claim your free MCQ
Please specify
Sorry for the inconvenience but we’re performing some maintenance at the moment. Website can be slow during this phase..
Please verify your mobile number
Login not allowed, Please logout from existing browser
Please update your name
Subscribe to Notifications
Stay updated with the latest Current affairs and other important updates regarding video Lectures, Test Schedules, live sessions etc..
Your Free user account at abhipedia has been created.
Remember, success is a journey, not a destination. Stay motivated and keep moving forward!
Refer & Earn
Enquire Now
My Abhipedia Earning
Kindly Login to view your earning
Support
Type your modal answer and submitt for approval
A takes 20% more time than B and they both completes the work in days. Find in how much time A can do the half of the work.
9 days
18days
12days
15days
21days
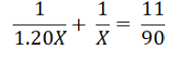
Let B takes X days to complete the whole work alone So, A takes 1.20X to complete the whole work alone. A.T.Q,
On solving this we get, X = 15 days So, A takes 1.20 × 15 = 18 days to complete whole work alone A completes half the work in 18÷2 = 9 days.
By: Munesh Kumari ProfileResourcesReport error
Access to prime resources
New Courses