send mail to support@abhimanu.com mentioning your email id and mobileno registered with us! if details not recieved
Resend Opt after 60 Sec.
By Loging in you agree to Terms of Services and Privacy Policy
Claim your free MCQ
Please specify
Sorry for the inconvenience but we’re performing some maintenance at the moment. Website can be slow during this phase..
Please verify your mobile number
Login not allowed, Please logout from existing browser
Please update your name
Subscribe to Notifications
Stay updated with the latest Current affairs and other important updates regarding video Lectures, Test Schedules, live sessions etc..
Your Free user account at abhipedia has been created.
Remember, success is a journey, not a destination. Stay motivated and keep moving forward!
Refer & Earn
Enquire Now
My Abhipedia Earning
Kindly Login to view your earning
Support
Type your modal answer and submitt for approval
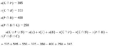
In a group of 1000 people,595 are like cricket,595 like football,550 like badminton,395 like cricket and football,350 like cricket and badminton,400 like football and badminton,250 like three games. How many of them are not like any of the games?
130
140
155
N=1000
Cricket n(c)=595
Football n(f)=595
Badminton n(B)=550
People not like any game=1000-845
=155
By: bhavesh kumar singh ProfileResourcesReport error
Access to prime resources
New Courses