send mail to support@abhimanu.com mentioning your email id and mobileno registered with us! if details not recieved
Resend Opt after 60 Sec.
By Loging in you agree to Terms of Services and Privacy Policy
Claim your free MCQ
Please specify
Sorry for the inconvenience but we’re performing some maintenance at the moment. Website can be slow during this phase..
Please verify your mobile number
Login not allowed, Please logout from existing browser
Please update your name
Subscribe to Notifications
Stay updated with the latest Current affairs and other important updates regarding video Lectures, Test Schedules, live sessions etc..
Your Free user account at abhipedia has been created.
Remember, success is a journey, not a destination. Stay motivated and keep moving forward!
Refer & Earn
Enquire Now
My Abhipedia Earning
Kindly Login to view your earning
Support
Type your modal answer and submitt for approval
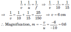
A pencil is placed upright at a distance 10 cm from a convex lens of focal length 15 cm. The nature of the image of the pencil will be
real, inverted and magnified
real, erect and magnified
virtual, erect and reduced
virtual, erect and magnified
It is given that, Focal length of the convex lens, f = 15cm Distance of pencil from the pole, u = − 10 cm Applying mirror formula, we get
As magnification is positive and less than one image will be vertical, erect and diminished
By: Munesh Kumari ProfileResourcesReport error
Access to prime resources
New Courses