Multiple Choice Questions on Two bodies A and B are moving with equal velocities The mass of B is doubled that of A In this conte........... for NDA Exam Preparation

Back to Main Page

Multiple Choice Questions

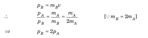
Two bodies A and B are moving with equal velocities The mass of B is doubled that of A In this conte...........

What our students have to say
Download Abhipedia Android App

Access to prime resources

Downlod from playstore
download android app download android app for free