Multiple Choice Questions on What is the sum of the squares of the intercepts cut off by the circle on the axes ........ for NDA Exam Preparation

Back to Main Page

Multiple Choice Questions

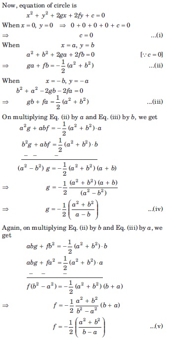
What is the sum of the squares of the intercepts cut off by the circle on the axes ........

What our students have to say
Download Abhipedia Android App

Access to prime resources

Downlod from playstore
download android app download android app for free