Multiple Choice Questions on Which one of the following graphs represents the function f x x x x 0 ........ for NDA Exam Preparation

Back to Main Page

Multiple Choice Questions

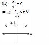
Which one of the following graphs represents the function f x x x x 0 ........

What our students have to say
Download Abhipedia Android App

Access to prime resources

Downlod from playstore
download android app download android app for free