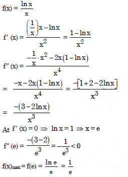
Multiple Choice Questions on The maximum value of is ........ for NDA Exam Preparation

Back to Main Page

Multiple Choice Questions
What our students have to say
Download Abhipedia Android App

Access to prime resources

Downlod from playstore
download android app download android app for free