Multiple Choice Questions on Which one of the following is correct in respect of the derivative of the function i e f 39 x ........ for NDA Exam Preparation

Back to Main Page

Multiple Choice Questions

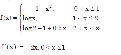
Which one of the following is correct in respect of the derivative of the function i e f 39 x ........

What our students have to say
Download Abhipedia Android App

Access to prime resources

Downlod from playstore
download android app download android app for free