Multiple Choice Questions on Let 2 2 3 and 2 6 be three vectors If and are both perpendicular to the vector and 10 then what is t........... for NDA Exam Preparation

Back to Main Page

Multiple Choice Questions

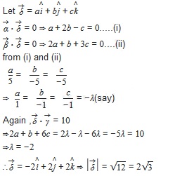
Let 2 2 3 and 2 6 be three vectors If and are both perpendicular to the vector and 10 then what is t...........

What our students have to say
Download Abhipedia Android App

Access to prime resources

Downlod from playstore
download android app download android app for free