Multiple Choice Questions on The angles of elevation of the top of a tower from the top and foot of a pole are respectively 300 a........... for NDA Exam Preparation

Back to Main Page

Multiple Choice Questions

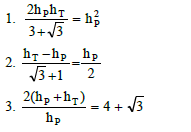
The angles of elevation of the top of a tower from the top and foot of a pole are respectively 300 a...........

What our students have to say
Download Abhipedia Android App

Access to prime resources

Downlod from playstore
download android app download android app for free