Multiple Choice Questions on If xi gt 0 yi gt 0 i 1 2 3 n are the values of two variable X and Y with geometric mean P and Q resp........... for NDA Exam Preparation

Back to Main Page

Multiple Choice Questions

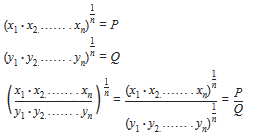
If xi gt 0 yi gt 0 i 1 2 3 n are the values of two variable X and Y with geometric mean P and Q resp...........

What our students have to say
Download Abhipedia Android App

Access to prime resources

Downlod from playstore
download android app download android app for free