Multiple Choice Questions on The differential equation of the family of curves y p cos ax q sin ax where p q are arbitrary consta........... for NDA Exam Preparation

Back to Main Page

Multiple Choice Questions

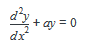
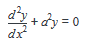
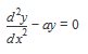
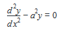
The differential equation of the family of curves y p cos ax q sin ax where p q are arbitrary consta...........

What our students have to say
Download Abhipedia Android App

Access to prime resources

Downlod from playstore
download android app download android app for free