send mail to support@abhimanu.com mentioning your email id and mobileno registered with us! if details not recieved
Resend Opt after 60 Sec.
By Loging in you agree to Terms of Services and Privacy Policy
Claim your free MCQ
Please specify
Sorry for the inconvenience but we’re performing some maintenance at the moment. Website can be slow during this phase..
Please verify your mobile number
Login not allowed, Please logout from existing browser
Please update your name
Subscribe to Notifications
Stay updated with the latest Current affairs and other important updates regarding video Lectures, Test Schedules, live sessions etc..
Your Free user account at abhipedia has been created.
Remember, success is a journey, not a destination. Stay motivated and keep moving forward!
Refer & Earn
Enquire Now
My Abhipedia Earning
Kindly Login to view your earning
Support
Type your modal answer and submitt for approval
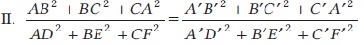
Let ABC and A'B'C' be two triangles in which AB > A'B', BC > B'C' and CA > C'A'. Let D, E and F be the mid-points of the sides BC, CA and AB, respectively. Let D', E' and F' be themid-points of the sides B'C',C'A' and A'B', respectively. Consider the following statements
Which one of the following is correct in respect of the above statements?
Both Statement I and Statement II are true and Statement II is the correct explanation of Statement I
Both Statement I and Statement II are true but Statement II is not the correct explanation of Statement I
Statement I is true but Statement II is false
Statement I is false but Statement II is true
Given, in ABC and A'B'C' AB> A'B', BC > B'C' and CA > C' A' and Statement I, which is always true, is as follows AD> A'D', BE > B'E' and CF > C'F' where, D, E and F are mid-points of sides BC, CA and AB, respectively and D¢, E¢ and F¢ are mid-points of sides B'C', C' A' and A'B', respectively. Verification Let in ABC, each side = 4 and in A'B'C', each side = 2 AD =
By: Munesh Kumari ProfileResourcesReport error
Access to prime resources
New Courses