send mail to support@abhimanu.com mentioning your email id and mobileno registered with us! if details not recieved
Resend Opt after 60 Sec.
By Loging in you agree to Terms of Services and Privacy Policy
Claim your free MCQ
Please specify
Sorry for the inconvenience but we’re performing some maintenance at the moment. Website can be slow during this phase..
Please verify your mobile number
Login not allowed, Please logout from existing browser
Please update your name
Subscribe to Notifications
Stay updated with the latest Current affairs and other important updates regarding video Lectures, Test Schedules, live sessions etc..
Your Free user account at abhipedia has been created.
Remember, success is a journey, not a destination. Stay motivated and keep moving forward!
Refer & Earn
Enquire Now
My Abhipedia Earning
Kindly Login to view your earning
Support
Type your modal answer and submitt for approval
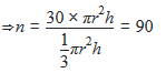
30 metallic cylinders of same size are melted and cast in the form of cones having the same radius and height as those of the cylinders.
Consider the following statements:
Statement I : A maximum of 90 cones will be obtained.
Statement II : The curved surface of the cylinder can be flattened in the shape of a rectangle but the curved surface of the cone when flattened has the shape of triangle
Which one of the following is correct in respect of the above?
Both Statement I and Statement II are correct and Statement II is the correct explanation of Statement I
Both Statement I and Statement II are correct and Statement II is not the correct explanation of Statement I
Statement I is correct but Statement II is not correct
Statement I is not correct but Statement II is correct
Let the radius and height of the cone and cylinder be r and h, respectively. Suppose the number of cones obtained be n. Therefore, 30 × Volume of each cylinder = n × Volume of each cone Hence, statement I is correct. The curved surface of the cylinder can be flattened in the shape of a rectangle but the curved surface of the cone when flattened has the shape of a sector. Hence, statement II is not correct.
By: Munesh Kumari ProfileResourcesReport error
Access to prime resources
New Courses