send mail to support@abhimanu.com mentioning your email id and mobileno registered with us! if details not recieved
Resend Opt after 60 Sec.
By Loging in you agree to Terms of Services and Privacy Policy
Claim your free MCQ
Please specify
Sorry for the inconvenience but we’re performing some maintenance at the moment. Website can be slow during this phase..
Please verify your mobile number
Login not allowed, Please logout from existing browser
Please update your name
Subscribe to Notifications
Stay updated with the latest Current affairs and other important updates regarding video Lectures, Test Schedules, live sessions etc..
Your Free user account at abhipedia has been created.
Remember, success is a journey, not a destination. Stay motivated and keep moving forward!
Refer & Earn
Enquire Now
My Abhipedia Earning
Kindly Login to view your earning
Support
Type your modal answer and submitt for approval
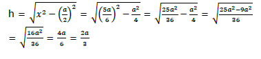
An isosceles triangle is drawn outside on one of the sides of a square as base in such a way that the perimeter of the complete figure is 7/6 times the perimeter of the original square. What is the ratio of area of the triangle to the area of the original square?
1 : 1
2 : 3
1 : 2
1 : 3
Let the side of each of the square be a and the other two sides of the triangle be x Given, Perimeter of the complete figure = 7/6(perimeter of the original square) =>3a + 2x = 7/6(4a) =>3a + 2x = 7/3(2a) =>3(3a + 2x) = 14a =>9a + 6x = 14a =>6x = 5a ………(i) Using Pythagoras theorem In upper triangle: Again, Ratio of the area of triangle to the original square = Hence required ratio be 1 : 3
By: Munesh Kumari ProfileResourcesReport error
Access to prime resources
New Courses