Multiple Choice Questions on Consider the following statements in respect of the expression Where n is an integer 1 There are exa........... for CDS Exam Preparation

Back to Main Page

Multiple Choice Questions

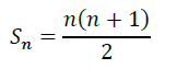
Consider the following statements in respect of the expression Where n is an integer 1 There are exa...........

What our students have to say
Download Abhipedia Android App

Access to prime resources

Downlod from playstore
download android app download android app for free