send mail to support@abhimanu.com mentioning your email id and mobileno registered with us! if details not recieved
Resend Opt after 60 Sec.
By Loging in you agree to Terms of Services and Privacy Policy
Claim your free MCQ
Please specify
Sorry for the inconvenience but we’re performing some maintenance at the moment. Website can be slow during this phase..
Please verify your mobile number
Login not allowed, Please logout from existing browser
Please update your name
Subscribe to Notifications
Stay updated with the latest Current affairs and other important updates regarding video Lectures, Test Schedules, live sessions etc..
Your Free user account at abhipedia has been created.
Remember, success is a journey, not a destination. Stay motivated and keep moving forward!
Refer & Earn
Enquire Now
My Abhipedia Earning
Kindly Login to view your earning
Support
INTRODUCTION
You hear anecdotes all the time: The poorest 20% of the people on Earth earn only 1% of the income. A mere 20% of the people on Earth consume 86% of the consumer goods. Only 3% of the U.S. population owns 95% of the privately held land. The Gini index offers a consistent way to talk about statistics like these. A single number that measures how equitably a resource is distributed in a population, the Gini index gives a simple, if blunt, tool for summarizing economic data. It allows us to illustrate how equity has changed in a given situation over time, such as how U.S. family income changed over the 20th century. (The poor got poorer over the second half.) We can also compare income or wealth across societies, and even analyze salary structures of organizations. Being only a single summary statistic, the Gini index has been critiqued by social scientists. It is true that no summary statistic can reveal all we need to know about the distribution of income, wealth, or land. Even so, the Gini index deserves to be better known in the mathematical community, as it continues to find application in new situations, from genetics to astronomy . In addition to a self-contained presentation of the Gini index, we give two equivalent ways to interpret this summary statistic: first in terms of the percentile level of the person who earns the average dollar, and second in terms of how the lower of two randomly chosen incomes compares, on average, to mean income. The first of these appears to be new; the second has appeared in the literature, but does not seem to be well known. Beyond the inherent mathematical interest, our story draws attention to the concept of inequity and offers readers tools to help them go beyond the factoids of the first paragraph.
There are many criteria that policymakers can use to assess outcomes of economic interactions, or allocations, in order for them to evaluate which outcome is ‘better’ than the others. One important criterion for assessing an allocation is efficiency, and another is fairness. Outcomes that economists would define as ‘efficient’—those that cannot make one person better off without making someone else worse off—may be undesirable because they are unfair. To read more about how economists use the word ‘efficiency’ in Economy, Society, and Public Policy.
For example, a situation where a small fraction of the population lives in luxury and everybody else struggles to survive could be efficient, but few people would say it is desirable due to the vast inequality between the rich and poor. In this case, policymakers might intervene by implementing a tax system where richer people pay a greater proportion of their income than poorer people (a progressive tax), and some revenue collected in taxes is transferred to the poor. Empirical evidence on people’s views about the fairness of the income distribution and further discussion of the concept of fairness can be found in Economy, Society, and Public Policy.
To assess inequality, economists often use a measure called the Gini coefficient, which is based on the differences between people in incomes, wealth, or some other measure. We will first look at how the Gini coefficient is calculated and compare it with other measures of inequality between the rich and poor, such as the 90/10 ratio. We will also use Lorenz curves to show the entire distribution of income in a country. Then, we will use the Gini coefficient and other measures to look at other dimensions of inequality, such as health-related outcomes and gender participation in education. To learn more about how the Gini coefficient is calculated from differences in people’s endowments, in Economy, Society, and Public Policy.
The Gini coefficient is a measure of inequality of a distribution. It is defined as a ratio with values between 0 and 1: the numerator is the area between the Lorenz curve of the distribution and the uniform distribution line; the denominator is the area under the uniform distribution line. It was developed by the Italian statistician Corrado Gini and published in his 1912 paper "Variabilità e mutabilità" ("Variability and Mutability"). The Gini index is the Gini coefficient expressed as a percentage, and is equal to the Gini coefficient multiplied by 100. (The Gini coefficient is equal to half of the relative mean difference.) The Gini coefficient is often used to measure income inequality. Here, 0 corresponds to perfect income equality (i.e. everyone has the same income) and 1 corresponds to perfect income inequality (i.e. one person has all the income, while everyone else has zero income). The Gini coefficient can also be used to measure wealth inequality. This use requires that no one has a negative net wealth. It is also commonly used for the measurement of discriminatory power of rating systems in the credit risk management.
DEFINING THE GINI INDEX.
Though it is named for Italian statistician Corrado Gini (1884–1965), the Gini index can almost be glimpsed in the diagrams from a 1905 paper by M. O. Lorenz. Gini’s original work on the subject appeared in 1912 in Italian; it is not easy to access. Fortunately, the paper by Lorenz is quite charming to read and gives an excellent historical snapshot of the seeds of this train of thought. The first sentence is memorable: There may be wide difference of opinion as to the significance of a very unequal distribution of wealth, but there can be no doubt as to the importance of knowing whether the present distribution is becoming more or less unequal.
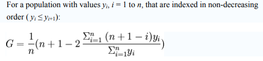
Let us define a Lorenz curve, the instrument Lorenz proposed for visualizing the distribution of a quantity in a population. Suppose that some quantity Q, which could stand for wealth, income, family income, land, food, and so on, is distributed in a population. If we imagine the population to be lined up by increasing order of their shares of Q (with ties being broken arbitrarily), then for any p between 0 and 1 the people in the first fraction p of the line represent the Q-poorest 100p% of the population. We then call L(p) the fraction of the totality of Q owned (or earned or controlled or eaten) by that fraction of the population. In summary: The Lorenz curve for a resource Q is the curve y = L(p), where the Q-poorest fraction p of the population has a fraction L(p) of the whole. Using this vocabulary, the first sentence of the paper would be expressed as L(.20) = .01, where L is the Lorenz curve for world income. The variable p is called the percentile variable.
Calculation
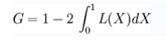
The Gini coefficient is defined as a ratio of the areas on the Lorenz curve diagram. If the area between the line of perfect equality and Lorenz curve is A, and the area under the Lorenz curve is B, then the Gini coefficient is A/(A+B). Since A+B = 0.5, the Gini coefficient, G = 2A = 1-2B. If the Lorenz curve is represented by the function Y = L(X), the value of B can be found with integration and:
In some cases, this equation can be applied to calculate the Gini coefficient without direct reference to the Lorenz curve. For example:
Since the Gini coefficient is half the relative mean difference, it can also be calculated using formulas for the relative mean difference.
is a consistent estimator of the population Gini coefficient, but is not, in general, unbiased. Like the relative mean difference, there does not exist a sample statistic that is in general an unbiased estimator of the population Gini coefficient. Confidence intervals for the population Gini coefficient can be calculated using bootstrap techniques.
Sometimes the entire Lorenz curve is not known, and only values at certain intervals are given. In that case, the Gini coefficient can be approximated by using various techniques for interpolating the missing values of the Lorenz curve. If ( Xk , Yk ) are the known points on the Lorenz curve, with the Xk indexed in increasing order ( Xk - 1 < Xk ), so that:
If the Lorenz curve is approximated on each interval as a line between consecutive points, then the area B can be approximated with trapezoids and:
is the resulting approximation for G. More accurate results can be obtained using other methods to approximate the area B, such as approximating the Lorenz curve with a quadratic function across pairs of intervals, or building an appropriately smooth approximation to the underlying distribution function that matches the known data. If the population mean and boundary values for each interval are also known, these can also often be used to improve the accuracy of the approximation.
While most developed European nations tend to have Gini coefficients between 0.24 and 0.36, the United States Gini coefficient is above 0.4, indicating that the United States has greater inequality. Using the Gini can help quantify differences in welfare and compensation policies and philosophies. However it should be borne in mind that the Gini coefficient can be misleading when used to make political comparisons between large and small countries.
Correlation with per-capita GDP
Poor countries (those with low per-capita GDP) have Gini coefficients that fall over the whole range from low (0.25) to high (0.71), while rich countries have generally low Gini coefficient (under 0.40).
Advantages as a measure of inequality
• The Gini coefficient's main advantage is that it is a measure of inequality by means of a ratio analysis, rather than a variable unrepresentative of most of the population, such as per capita income or gross domestic product.
• It can be used to compare income distributions across different population sectors as well as countries, for example the Gini coefficient for urban areas differs from that of rural areas in many countries (though the United States' urban and rural Gini coefficients are nearly identical).
• It is sufficiently simple that it can be compared across countries and be easily interpreted. GDP statistics are often criticised as they do not represent changes for the whole population; the Gini coefficient demonstrates how income has changed for poor and rich. If the Gini coefficient is rising as well as GDP, poverty may not be improving for the majority of the population.
• The Gini coefficient can be used to indicate how the distribution of income has changed within a country over a period of time, thus it is possible to see if inequality is increasing or decreasing.
• The Gini coefficient satisfies four important principles:
o Anonymity: it does not matter who the high and low earners are.
o Scale independence: the Gini coefficient does not consider the size of the economy, the way it is measured, or whether it is a rich or poor country on average.
o Population independence: it does not matter how large the population of the country is.
o Transfer principle: if income (less than the difference), is transferred from a rich person to a poor person the resulting distribution is more equal.
Disadvantages as a measure of inequality
As one result of this criticism, additionally to or in competition with the Gini coefficient entropy measures are frequently used (e.g. the Atkinson and Theil indices). These measures attempt to compare the distribution of resources by intelligent players in the market with a maximum entropy random distribution, which would occur if these players acted like non-intelligent particles in a closed system following the laws of statistical physics
MEASURING INCOME INEQUALITY
One way to visualize the income distribution in a population is to draw a Lorenz curve. This curve shows the entire population along the horizontal axis from the poorest to the richest. The height of the curve at any point on the vertical axis indicates the fraction of total income received by the fraction of the population, shown on the horizontal axis.
Lorenz Curve and Gini Coefficient
The distribution of Income in an economy is represented by the Lorenz Curve and the degree of income inequality is measured through the Gini Coefficient. One of the five major and common macroeconomic goals of a government is the equitable (fair) distribution of income. The Lorenz Curve (the actual distribution of income curve), a graphical distribution of wealth developed by Max Lorenzin 1906, shows the proportion of income earned by any given percentage of the population. The line at the 45º angle shows perfectly equal income distribution, while the other line shows the actual distribution of income. The further away from the diagonal, the more unequal the size of the distribution of income.
Gini Coefficient The Gini Coefficient, which is derived from the Lorenz Curve, can be used as an indicator of economic development in a country. The Gini Coefficient measures the degree of income equality in a population. The Gini Coefficient can vary from 0 (perfect equality) to 1 (perfect inequality). A Gini Coefficient of zero means that everyone has the same income, while a Coefficient of 1 represents a single individual receiving all the income.
To estimate the Lorenz Curve, you will need data on individual incomes and their corresponding frequencies. With this information, you can plot points on a graph to create the curve. Let's dive into the process of estimating the Lorenz Curve and understand its significance in visualizing income inequality.
The first step in estimating the Lorenz Curve is gathering data on individual incomes. This data should include information about how frequently each income level occurs within a given population. For example, if we have a dataset of 100 individuals, we need to know how many people fall into each income bracket.
Once you have the required data, it's time to plot points on a graph. The x-axis represents cumulative proportions or percentages of total population, while the y-axis represents cumulative proportions or percentages of total income. Each point on the graph corresponds to a specific cumulative proportion of individuals and their corresponding cumulative proportion of income.
There are several ways to estimate the Lorenz Curve using statistical software or spreadsheet programs. One common method is through stepwise regression analysis, which allows for an estimation based on multiple variables and their impact on income distribution. Another approach is using probabilistic methods that involve fitting a statistical distribution to individual incomes.
The estimated Lorenz Curve provides a visual representation of income inequality within a population. It helps us understand how wealth is distributed among different groups by showing deviations from an ideal line called the "line of perfect equality." The greater the distance between the Lorenz Curve and this line, the higher the degree of income inequality.
The Gini coefficient,or Gini Index, is a measure of income inequality within a population. It is a statistical indicator that ranges from 0 to 1, with 0 representing perfect equality and 1 representing maximum inequality. It’s used in relation to the Lorenz curve to express the extent of inequality. The Gini index is calculated by dividing the area between the Lorenz Curve and the line of perfect equality (where income is equally distributed) by the total area under the line of perfect equality.
By estimating and analyzing the Lorenz Curve, policymakers can make informed decisions regarding economic policies aimed at reducing inequality and promoting fairness in society.
There’s no single Lorenz Curve formula. The method for calculating the Lorenz curve depends on the data that is available. A common and simple method for calculating the Lorenz Curve is as follows:
Sort the population in ascending order based on income.
Calculate the cumulative percentage of the population by dividing the number of individuals below a certain income threshold by the total population size and multiplying by 100.
Calculate the cumulative percentage of total income by dividing the sum of incomes below a certain income threshold by the total income of the population and multiplying by 100.
Plot the cumulative percentage of the population on the x-axis and the cumulative percentage of total income on the y-axis.
Connect the plotted points to form the Lorenz Curve. This curve visually depicts how income is distributed among different segments of society.
Another common method for calculating the Lorenz curve is by using a mathematical solution known as the interpolation technique. This method provides a simple and straightforward way to estimate the curve without resorting to complicated error minimization techniques or fitting algorithms.
To illustrate the concept of the Lorenz Curve, let's consider a hypothetical scenario. Suppose we have data on the distribution of income among individuals in India. We can use this data to calculate the Lorenz Curve, which visually represents income inequality within the country.
Population by income: 10 people earning 100,000 INR, 10 people earning 200,000 INR, 10 people earning 300,000 INR
Cumulative percentage of income: 10% - 1,000,000 INR, 20% - 3,000,000 INR, 30% - 9,000,000 INR
Cumulative percentage of the population: 10% - 100,000 INR earners, 20% - 200,000 INR earners, 30% - 300,000 INR earners
In this example, we are looking at the population distribution by income in India, using Indian Rupees (INR) as the currency. We have a total of 30 individuals, with each group consisting of 10 individuals earning different amounts. The first group earns 100,000 INR, the second group earns 200,000 INR, and the third group earns 300,000 INR.
We calculate the cumulative percentage of total income for each individual by dividing the cumulative sum of the individual's income by the total sum of income in the sample. When we calculate the cumulative percentage of income, we find that 10% of the total income is earned by individuals earning 100,000 INR, 20% is earned by individuals earning 200,000 INR, and 30% is earned by individuals earning 300,000 INR. We repeat this calculation for each individual in the sample. Once we have the cumulative percentage of total income for each individual, we plot these points on a graph.
Similarly, when we calculate the cumulative percentage of the population, we find that 10% of the population consists of individuals earning 100,000 INR, 20% consists of individuals earning 200,000 INR, and 30% consists of individuals earning 300,000 INR. By plotting the cumulative percentage of the population on the y-axis against the cumulative percentage of income on the x-axis, we get the Lorenz curve.
This example illustrates the income distribution in India, highlighting the concentration of income among different segments of the population. The closer the Lorenz Curve is to the diagonal line (representing perfect equality), the more equal the income distribution is. On the other hand, if the Lorenz Curve deviates further from the diagonal line, it indicates greater income inequality.
The Lorenz Curve and Gini Coefficient are essential tools used to understand income distribution and inequality.
The Gini coefficient provides a concise summary of the distribution of income within a population. It takes into account the entire distribution rather than just focusing on specific points or percentiles. The Gini coefficient allows us to compare income inequality across different populations or time periods.
By calculating the area between the diagonal line of perfect equality and the Lorenz curve and dividing it by the total area under the diagonal line, we obtain the Gini coefficient. It quantifies income inequality on a scale from 0 to 1, where 0 represents perfect equality and 1 signifies extreme inequality. Here's how to interpret it:
Values close to zero suggest a more equal distribution of income among individuals.
Values closer to one indicate high levels of inequality, with a small portion of individuals holding a large share of total income.
The Lorenz Curve is a graph that compares the cumulative share of total income earned by different segments of the population. Here's how to interpret it:
The closer the curve is to the diagonal line, the closer we are to perfect equality in income distribution.
If the curve deviates significantly from the diagonal line, it indicates higher levels of inequality.
Understanding these interpretations allows us to assess and compare income distributions across different populations or countries. For example, if Country A has a Gini Coefficient of 0.2 and Country B has a coefficient of 0.6, we can conclude that Country A has relatively lower levels of income inequality compared to Country B.
By analyzing data using the Lorenz Curve and Gini Coefficient, governments, organizations like the World Bank, and researchers gain insights into wealth disparities within societies. These measures help policymakers identify areas where interventions may be necessary to address inequalities in access to resources and opportunities.
Simple and Intuitive: The Lorenz Curve provides a straightforward way to visualize and interpret income distribution within a population. It plots the cumulative share of total income against the cumulative share of the population, allowing us to see at a glance how wealth is distributed across different groups.
Easy Comparison: One of the key strengths of the Lorenz Curve is its ability to facilitate easy comparison across different populations or time periods. By plotting multiple curves on the same graph, we can compare income distributions between countries, regions, or over time, helping us identify disparities and trends in inequality.
While the Lorenz Curve has its benefits, it also comes with limitations that need to be considered when interpreting its findings.
Challenging Data Requirements: The accuracy of the Lorenz Curve depends on having reliable data on individual incomes. However, obtaining precise information about everyone's earnings can be challenging in practice. In some cases, data may not be available or may not accurately capture all sources of income (e.g., informal economy), which can affect the reliability of the curve's representation.
Lack of Specificity: Although the Lorenz Curve provides an overview of income inequality within a population, it does not offer insights into specific causes or factors contributing to that inequality. It does not reveal whether disparities arise from differences in education levels, discrimination, government policies, or other factors influencing income distribution.
High income inequality, as measured by the Lorenz curve, can have significant implications for society and the economy:
When there is a large gap between the incomes of different individuals or groups, it can lead to social and economic problems. This means that some people have much more wealth and resources than others, which can create tension and division within society.
Inequality in income distribution can directly impact access to essential services such as education and healthcare. Those with lower incomes may struggle to afford quality education or proper healthcare, limiting their opportunities for upward mobility.
A widening wealth gap has been linked to political instability and social unrest. When a significant portion of the population feels marginalized or excluded from economic opportunities, it can lead to protests, demonstrations, or even conflicts.
Inequality can hinder overall economic growth. When wealth is concentrated in the hands of a few individuals or groups, there is less money circulating in the economy. This reduces consumer spending power and slows down economic activity.It is important for policymakers to consider these implications when addressing economic inequality. By striving for a more equitable distribution of resources, societies can promote stability, equal opportunities for all members, and sustainable economic growth.
In conclusion, exploring insights from the Lorenz curve analysis offers a deeper understanding of income distribution and inequality within a society. By utilizing this methodology alongside other measures, policymakers can make informed decisions to address inequities effectively. It is crucial to recognize both the strengths and limitations of this approach when formulating strategies to promote more equitable societies.
By: Jyoti Das ProfileResourcesReport error
Access to prime resources
New Courses