send mail to support@abhimanu.com mentioning your email id and mobileno registered with us! if details not recieved
Resend Opt after 60 Sec.
By Loging in you agree to Terms of Services and Privacy Policy
Claim your free MCQ
Please specify
Sorry for the inconvenience but we’re performing some maintenance at the moment. Website can be slow during this phase..
Please verify your mobile number
Login not allowed, Please logout from existing browser
Please update your name
Subscribe to Notifications
Stay updated with the latest Current affairs and other important updates regarding video Lectures, Test Schedules, live sessions etc..
Your Free user account at abhipedia has been created.
Remember, success is a journey, not a destination. Stay motivated and keep moving forward!
Refer & Earn
Enquire Now
My Abhipedia Earning
Kindly Login to view your earning
Support
Input Output Model of Leontief
In a modern economy the production of one good requires the input of many other goods as intermediate goods in the production process. Leontief Input-output model is a technique to explain the general equilibrium of the economy. It is also known as “inter-industry analysis”. Before analysing the input-output method, let us understand the meaning of the terms, “input” and “output”. According to Professor J.R. Hicks, an input is “something which is bought for the enterprise” while an output is “something which is sold by it.” An input is obtained but an output is produced. Thus input represents the expenditure of the firm, and output its receipts. The sum of the money values of inputs is the total cost of a firm and the sum of the money values of the output is its total revenue. The input-output analysis tells us that there are industrial interrelationships and inter-dependencies in the economic system as a whole. The inputs of one industry are the outputs of another industry and vice versa, so that ultimately their mutual relationships lead to equilibrium between supply and demand in the economy as a whole.
Leontief input-output analysis
Leontief input-output analysis answers what level of output each of n industries in an economy should produce that will just be sufficient to satisfy the total demand for the product. The total demand x for product i will be the summation of all intermediate demand for the product plus the final demand b for the product arising from consumers, investors, the government and exporters as ultimate users. For example, the output of steel industry is needed as an input in many other industries, or even for that industry itself; therefore the correct level of steel output will depend on the input requirements of all the n industries.in turn the output of many other industries wil enter into the steel industry as inputs, and consequently the “correct” levels of other products will in turn depend partly on the input requirements of the steel industry. In view of inter industry dependence, any set of “correct” output levels for n industries must be one that is consistent withal the input requirements in the economy, so that no bottlenecks will raise anywhere. If aij is a technical coefficient expressing the value of input i required to produce one dollar’s worth of product j the total demand for product i can be expressed as
A is the matrix of technical coefficients. To find the level of total output needed to satisfy final demand, we can for X in terms of matrix of technical coefficients and the column vector of final demand.
Assumptions This analysis is based on the following assumptions: (i) The whole economy is divided into two sectors—“inter-industry sectors” and “final-demand sectors,” both being capable of sub-sectoral division. (ii) The total output of any inter-industry sector is generally capable of being used as inputs by other inter-industry sectors, by itself and by final demand sectors. (iii) No two products are produced jointly. Each industry produces only one homogeneous product. (iv) Prices, consumer demands and factor supplies are given. (v) There are constant returns to scale. (vi) There are no external economies and diseconomies of production. (vii) The combinations of inputs are employed in rigidly fixed proportions. The inputs remain in constant proportion to the level of output. It implies that there is no substitution between different materials and no technological progress. There are fixed input coefficients of production.
The analysis usually involves constructing a table in which each horizontal row describes how one industry’s total product is divided amongvarious production processes and final demand. Each vertical column denotes the combination of ptoductive resources used within one industry. In each column of input-output table, purchases from intermediate producers and primary factors of production (labor, capital, and land) are recoreded. Input-output table has one row and one column for each sector of the economy and shows, for each pair of sectors, the amount or value of goods and services that flowed directly between them in each direction during a stated period.
Typically, the tables are arranged so that the entry in the rth row and cth column gives the flow from the rth sector to the cth sector. If the sectors are defined in such a way that the output of each is fairely homogeneous, they will be numerous. The amount of effort required to estimate the output of each sector, and to distribute it among the sectors that uses it, is prodigious. This phase of input-output work corresponds in its general descriptive nature to the national income accounts. The complete specification of all interindustry transactions distinguishes input-output acconunts from national income and product accounts and helps to bridge the macro and sectoral components of an economy. The double-counting in input-output accounts provides detailed information for analysis and planning purposes.Many important accounting balances must be maintained in constructing an input-output account. The first major accounting balance is that total outlays by an industry (the total of elements in a column) must equal total output of the industry-total sales of output of the industry to all intermediate and final users (the total of elements in the row for the respective industry).
Differences between these two totals helps input-output account ants identify problems with the basic data collected by surveys, censuses, and other means. The second major accounting balance is that the sum of all income earned by the factors of production (gross income received) must be equal to the sum of all expenditures made by final users (gross domestic product). This accounting balance ensures that all income recorded as received is also showm as being spent. The analytical phase of input-output work has been built on a foundation of two piers.
The first pier is a set of accounting equations, one for each industry. The first of these equetions says that the total output of the first industry is equal to the sum of the separate amounts sold by the first industry to the other industries; the second equation says the same thing for the the second industry; and so on. Thus the equation for any industry says that its total output is equal to the sum of all the entries in that industry’s row in the input-output table.
The second pier is another set of equations, at least one for each industry. The first group of these equations shows the relationships between the output of the first industry and the inputs it must get from other industries in order to produce its own output; the others do the same for the second and all other industries. Work in input-output economics may be purely desctiptive, dealing only with the preparation of input-output tables. Or it may be purely theoretical, dealing with the formal relationships that can be derived under various assumptions from the equations just mentioned. Or it may be a mixture, using both empirical data and thoretical relationships in the attempt to explain or predict actual developments.
THE INPUT-OUTPUT TABLE
The input-output (I-O) table describes intersectoral flows in a tabular form and records the purchases and sales across the sectors of an economy over a given period of time. Suppose an economic system or region has a total of n production sectors. The output of a given sector is used by intermediate demanders (the production sectors use each other’s output in their production activities) and by final demanders (typically households, the government, and other regions or nations that trade with the given system).
We present a transaction table of such an economy in Figure 1 that represents a basic Input-Output Model with non-competitive Imports. Noncompetitive imports include products that are either not producible or not yet produced in the country. The value of goods imported is recorded as a separate row in the transactiona matrix.
Therefore the example in Figure 1 has no corresponding column since no equivalent products are produced domestically. In this table, Xi is the gross output of the ith sector, Xij represents the amount of the ith sector’s output used by the jth sector to produce its output, and Xj is the final demanders’ use of the ith sector’s output. The use of primary inputs such as labor, W, and capital, R is described in the bottom rows of the table. In those rows Wi, represents the use of labor in the production of ith product, W is the use of labor by final demanders, Ri is the use of capital in the production of other goods, and R is the final demand for capital. The rows of the table describe the deliberies of the total amount of a product or primary input to all uses, both intermediate and final.
For example, suppose sector 1 represents food products. Then the first row tells us that, out of a gross output of X1tons of food products, an amount X11 is used in the production of food products themselves, an amount of X12must be delivered to sector 2, X1i tons are delivered to sector i, X1n to sector n, and X1tons are consumed by final end users of food products. The columns of the table describe the input requirements to produce the gross output totals. Thus, producing the X1 tons of food products requires X11tons of food products, along with X21units of output from sector 2 (steel, perhaps), Xi1 from sector i, Xn1 from sector n, W1 hours of labor, and R1dollars of capital.
An entry of 0 in one of the cells of the table indicates that none of the product represented by the row is required by the product represented by the column, so none is delivered. Below we set out a basic input-output (I-O) table under the following key assumptions:
1. Each sector or industry is characterized by a fixed coefficients production function. That is, there is a fixed or inflexible relationship between the level of output of any sector and the levels of required inputs. Irespective possible. Economies of scale in production are thus ignored. For example, as we all know that the degree to which a firm can substitute the factors of production is reflected in the shape of isoquants. Using the two factor Cobb-Douglas production function geometry, we can see the isoquant curves of constant output and the right-angle isoquant (the isoquants are “square”) represents a fixed-coefficients production function which shows that elasticity of substitution is zero.
2. The production of output in each sector is characterized by constant returns to scale. That is, an r% increase (decrease) in the output of a sector requires an r% increase (decrease) in all of the inputs. Production in a Leontief system operates under what is known as constant returns to scale. Returning to the two factor Cobb-Douglas production function, we can see the sum of transformation parameters, the exponents a and b, indicates the returns to scale.
That is, r = a+b.
To demonstrate, starting with a general Cobb = Douglas Production function, Q = AKa Lb, multiplying the inputs of capital and labor by a constant c gives:
A(cK)a (cL)b = Aca+bKa Lb = ca+bQ
If a+b = 1, then we have constant returns to scale.
3. Technology is given. The fixed coefficients production functions are set and reflect a given state of technology.
4. Each industry produces only one homogeneous commodity. (Broadly interpreted, this does not permit the case of two or more jointly produced commodities, provided they are produced in a fixed proportion to one another.) In constructing an input-output (I-O) table, the entries can be in physical units (e.g., tons of steel or hours of service) or in terms of monetary value (e.g., dollars or yen). We will use monetary value and assume constant unit prices for inputs and outputs in order to have fixed relationships between monetary values and physical quantities.
Doing so greatly facilitates the interpretation of the I-O table and the derivation of the I-O relationships. The I-O table can be divided vertically according to the type of demand (interindustry demands and final demands) and horizontally according to the type of input (domestic intermediate goods, domestic primary factors of production, and imports). The rows of such a table describe the distribution of a producer’s output throughout the economy. The columns describe the composition of inputs required by a particular industry to produce its output. These interindustry exchanges of goods constitute the endogenous division of the Table. The additional columns, labeled Final Demand, record the sales by each sector to final markets for their production. The additional rows, labeled Value Added, account for the other (nonindustrial) inputs to production. In this general model presented here we will consider n sectors or industries, two primary factors of production (capital and labor), and initially four types of final demand (personal consumption expenditures, C; investment expenditures, I; government purchases of goods and services, G; and exports, E) .
Referring to Figure 1, the Xs indicate the value of output. For example, Xi = value of the output of sector i (i = 1 …n)
MC, MI and MG = imports of final goods by consumers, firms, and the government, respectively
When there are two subscripts attached, Xij, interindustry transactions are indicated. The first subscript, i indicates the sector of origin (the provider of inputs), and the second subscript, j, indicates the sector of destination (the user of the inputs).
Therefore, Xij = sales by sector i to sector j, or the value of the inputs of sector i used to produce the output of sector j (i = 1…n; j = 1···n) Other key variables are
The rows of the table describe the deliveries of the total amount of a product or primary input to all uses, both intermediate and final. For example, suppose sector 1 represent steel. Then the first row tells us that, out of a gross output of X1 tons of steel, an amount X11 is used in the production of steel itself, an amount X12must be delivered to sector 2, X1j tons are delivered to secot i, X1n to sector n, and F1 tons are consumed by final end users of steel. The columns of the table describe the input requirements to producethe gross output totals. Thus, producing the X1 tons of steel requires X11 tons of steel, along with X21 units of output from sector 2 (coal, perhaps), Xi1 from sector i, Xn1 from sector n, W1 hours of labor, and R dollars of profits. An entry of 0 in one of the cells of the table indicates that none of the product represented by the row is required by the product represented by the column, so none is delivered. The n x n matrix in the upper left quadrant of the input-output (l-O) table represents the interindustry transactions or the sales of intermediate goods, Xij,i=1…n, j = 1…n. This quadrant describes all the intermediate flows among sectors required to maintain production. The focus is on the interdependent nature of production; each sector ‘s X production depends on the production of the other sectors. The n x 4 matrix in the upper right quandrant represents the final demands for the output of sector i: by consumers (Ci), firms (Ii), the government (Gi), and foreigners (Ei).
It describes the final consumption of produced goods and services, which is more external or exogenous to the industrial sectors that constitute the producers in the economy. Thus it records the sales by each sector to final markets for their production, such as personal consumption purchases and sales to the government, etc,.
The demand of these external units which are not used as an input to an industrial production process is generally referred to as final demand. The 3 x n matrix in the lower left quadrant represents the value added which accounts for the other (nonindustrial) inputs to production. It is composed of the factor payments by each sector to labor (Wj) and the owners of capital (Rj), and payments to foreigners for imports (Mj). All of these inputs (value added and imports) are often lumped together as purchases from what is called the payments sector. Finally, the lower right quadrant, with relatively few entries, accounts for the final consumption of labor (e.g., domestic help hired by households, Wc, and the employees of the government, WG), and imports of final goods by consumers (Mc), firms (MI) and the government (MG).
Thus, the elements in the intersection of the value added row and the final demand column represent payments by final consumers for labor services and for other value added. In the imports row and final demand columns are, for example, MG which represents government purchases of imported items. Next, reading across any of the first n rows shows how the output of a sector is allocated across users-as input into the production of the n sectors and for final demands. For example, the totaI demand for the output of sector i, that is, the allocation of the output of the ith sector can be written as
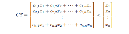
Let C = (ci,j ) be the n × n matrix in which ci,j is the dollar value of the output of sector i needed by sector j to produce one dollar of output. If
c1,j + c2,j + · · · + cn,j < 1,
then it costs sector j less than one dollar to produce a dollar of output; in that case we say sector j is profitable. The economy represented by the matrix C and demand vector ~d is productive if there is an output vector
Note that all entries of the demand and output vectors must be nonnegative, and all entries of the matrix C must also be nonnegative.
Here is a way to think about this. Suppose the sectors first order inputs C ~d to meet the projected demand ~d. Then they will need to order additional inputs C(C ~d) = C 2 ~d to produce the required C ~d for each other; this leads to a further required input C 3 ~d to produce C 2 ~d, and so forth. The final demand is
Theorem 1. If C is a nonnegative matrix (that is, all its entries are nonnegative), then the following conditions are equivalent.
1. (I − C) −1 exists and is nonnegative;
2. C n → 0 as n → ∞;
This has the following corollary.
Corollary 1. If the nonnegative matrix C has all its row sums less than 1, then (I − C) −1 exists and is nonnegative.
A slight twist to the preceding corollary gives a very natural result
Corollary 2. If the nonnegative matrix C has all its column sums less than 1, then (I − C) −1 exists and is nonnegative.
Now the jth column sum of a consumption matrix being less than 1 says that sector j is profitable, so this latter corollary can be stated as follows.
Corollary 3. An economy is productive for any demand vector ~d ≥ ~0 if each sector is profitable.
Call a consumption matrix C productive if the economy represented by C and any demand vector ~d ≥ ~0 is productive. While Theorem 1 gives a necessary and sufficient condition for C to be productive, the condition thatthere is some nonnegative vector ~x making (I −C)~x positive, or equivalently C~x < ~x, is not easy to check. (The hypotheses of Corollaries 1 and 2 are easy to check, but they may not be true.) So other criteria have been found. The following sufficient condition is called the Hawkins-Simon condition in the economics literature..
Theorem 2. If C is nonnegative and every principal minor of I − C is positive, then (I − C) −1 is nonnegative. Another criterion can be given involving the eigenvalues of C. The Perron-Frobenius theorem states that if C is a nonnegative matrix, then there is a real eigenvalue λpf of C such that λpf ≥ 0 and |λ| < λpf for all other eigenvalues λ of C. We call λpf the maximal eigenvalue of C. Then the following result holds.
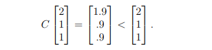
Theorem 3. A nonnegative matrix C is productive if and only if the maximal eigenvalue λpf of C satisfies λpf < 1. To illustrate these three theorems, we shall take some examples of threesector economies. Remember that this is just for illustration, since any realistic input-output model has hundreds of sectors. First consider the economy with consumption matrix
Then C satisfies the hypothesis of Corollary 2, since every sector is profitable. But the hypothesis of Corollary 1 doesn’t hold, since the first row sum is 1.2. Since
fails to satisfy the hypothesis of Corollary 2; indeed sectors 1 and 3 are not profitable. But it does satisfy the hypothesis of Corollary 1, since the row sums are 0.65, 0.9, and 0.9. The hypothesis of Theorem 2 also holds, since
This matrix violates the hypothesis of Corollary 2, since sectors 1 and 2 are not profitable. It also doesn’t satisfy the hypothesis of Corollary 1, since the first row sum is 1.2. With some persistence Theorem 1 can still be used to show C productive, since
The principal minors of
But how can we show a consumption matrix is not productive? One way is by Theorem 3, but this requires knowing the maximal eigenvalue of C. We can at least get some information from row and column sums. As we’ve seen, C may still be productive even though individual row sums or column sums exceed 1. But what if, say, all the column sums of C are 1 or more? If C is productive, Theorem 1 implies that there is a vector ~x ≥ ~0 with
Adding these n inequalities gives
This contradiction shows that C cannot be productive, giving us another corollary to Theorem 1.
Corollary 4. The nonnegative matrix C cannot be productive if every column sum is 1 or more. To put it another way, an economy cannot be productive if every sector is not profitable. By taking transposes as above we also have the following result.
Corollary 5. The nonnegative matrix C cannot be productive if every row sum is 1 or more.
INPUT-OUTPUT COEFFICIENTS
In input-output work, a fundamental assumption is that the interindustry flows from i to j-recall that these are for a given period, say, a yeardepend entirely and exclusively on the total output of sector j for that same time period. Consider the variable that represents intermediate use, Xij. The jth sector Produces some gross output, Xi itself. It uses many intermediate inputs to produce that output, including what it requires from the ith sector, Xij. Let’s define a new number, aij = Xij / Xj. This new number, called a input-output coefficient and this ratio of input to output, Xij / Xj is denoted aij technical coefficient, can be interpreted as the amount of input i used per unit output of product j, and A complete set of the technical input coefficients of all sectors of a given economy arranged in the form of a rectangular table-corresponding to the input-output table of the same economy-is called the structural matrix of the economy,which in practice are usually computed from input-output tables described in value terms. If we assume a linear production function, we assume that the techinical coefficient is a fixed input requirement for every unit of output by sector j. By definition, we can say
(1)
The value of the output of sector j (going down the jth column) can be written as
(2)
Dividing through equation (3) by the value of the output of sector j, Xj, we get
(3)
The input-output coefficient, aij,0 to, or contributed by, inputs purchased from sector 1. The input-output coefficients can equal 0, (if no inputs from sector i are used in the production of sector j), but must be less than 1 (if there is value added by labor and capital in the production of the output of sector j). The Wj / Xj, Rj / Xj, and Mj / Xj, indicate the shareas of wages (payments to labor), interest and profits (payments to the owners of capital), and imports (payments to foreigners) in the output of sector j. Substituting
aij = Xij / Xj in equation (4), we get
This system of n linear equations in n unknowns (the sectoral outputs,X1, …, Xn), can be written in matrix notation as (I-A) X = F, where I is the n x n identity matrix, A is the nxn matrix of exogenous input-output coefficients, X is the n x 1 matrix (vector) of endogenous sectoral outputs, and F is the n x 1 matrix (vector) of exogenous final demands.
The matrix (I-A) is known as the Leontief matrix. The solution to the system, ( I-A) X = F, if existing, is found by pre multiplying both sides of the equation by the inverse of the Leontief matrix. In this case matrix A satisfies the Hawkins-Simon condition. The matrix (I-A)-1 is usually referred to as the multiplier matrix as it shows the direct and indirect requirements of out-put per unit of sectoral final demand. The inverse matrix, (I-A)-1 provides a set of diaaggregated multipliers that are recognized to be more precise and sensitive than Kenesian multipliers (1/1-mpc) for studies of detailed economic impacts. The number 1/ (1-Marginal propensity to onsume)is called the income multiplier in macroeconomics.3/ Leontief inverse matrix, ie., multiplier matrix takes account of the fact that the total effect on output will vary, depending on which sectors are affected by changes in final demand. The total output multiplier for a sector measures the sum of the direct and indirect input requirements from all sectors needed to fulfil the final demand requirements of a given sector. Therefore once the initial change in final demand is known, the values of all inputs and outputs required to supply it can be determined. The basic input-output multiplier we show here is derived from this open input output model. All components of final demand are treated exogenously. The multiplier repsesents the ratio of the direct and indirect changes to the initial direct changes (in this case, in terms of output) to fulfill the final demand requirements of a given sector.
From such a viewpoint equation (9) can be seen as the result of an iterative process that shows the progressive adjustments of output to final demand and input requirements;
The first component on the right-hand side of equation (10) shows the direct output requirements to meet the final demand vector F. The second component shows the direct output requirement satisfying, in the second round, the intermediate demand vector, AF needed for the production of vector F in the previous round; the third component shows the direct output requirement for the intermediate consumption, A2 F, required for the production of vector AF in the previous round, and so on until the process decays and the sum of the series converges to the multiplier matrix (I- A)-1.
Thus,
where X is the n x 1 matrix (vector) of sectoral output levels required to meet the final demands for the sectoral outputs, given the input requirements set by the sectoral fixed coefficients productions function. The elements of Adjoint (adj (A)) are the cofactor of A.4/ For the solution to exist, the leontief matrix must be nonsingular, that is, | I-A | ≠ 0. It is quite clear from the above equation that if |I-A| = 0, then the inverse would not exist Then, |I-A| has an inverse if and only if |I-A| ≠ 0 which is tantamount to stating that matrix |I-A| has to be nonsingular.
The adjoint of a matrix A is denoted Adj (A) which is defined only for square matrices and is the transpose of a matrix obtained from the original matrix by replacing its elements aij by their corresponding cofactors |Cij|. The input-output model of this type makes economic sense only if all of the elements in the vector of gross outputs, X, are greater than zero and if all of the elements in the vector of final demand, F, are greater than or equal to zero, with at least one element strictly positive.
After all, if the gross output of a sector were equal to or less than zero, it would not be producing sector at all. If some element of F were negative, the system would not be self-sustaining; it would require injections to the sector in question from outside. If all the elements in F were equal to zero, then, according to , all elements in X would also be zero. We can be assured that Xi > 0 and 0, i = 1, 2, …, n, and that at least one element of F is greater than zero, if all of principal minors of the matrix [In-A], including the determinant of the matrix itself, are strictly greater than zero. This condition is known as the Hawkins-Simon condition, after the economists who first demonstrated it.
Exercises
Example 1. Determine the total demand x for industries 1,2,3, given the matrix of technical coefficients A and the final demand vector B.
Limitations of Input Output Analysis Major limitations faced by input-output analysis are as follows: 1. Its framework rests on Leontiefs basic assumption of constancy of input co-efficient of production which was split up above as constant returns of scale and technique of production. The assumption of constant returns to scale holds good in a stationary economy, while that of constant technique of production in stationary technology. 2. Assumption of fixed co-efficient of production ignores the possibility of factor substitution. There is always the possibility of some substitutions even in a short period, while substitution possibilities are likely to be relatively greater over a longer period. 3. The assumption of linear equations, which relates outputs of one industry to inputs of others, appears to be unrealistic. Since factors are mostly indivisible, increases in outputs do not always require proportionate increases in inputs. 4. The rigidity of the input-output model cannot reflect such phenomena as bottlenecks, increasing costs, etc. 5. The input-output model is severely simplified and restricted as it lays exclusive emphasis on the production side for the economy. It does not tell us why the inputs and outputs are of a particular pattern in the economy. 6. Another difficulty arises in the case of “final demand” or “bill of goods”. In this model, the purchases by the government and consumers are taken as given and treated as a specific bill of goods. Final demand is regarded as an independent variable. It might therefore, fail to utilize all the factors proportionately or need more than their available supply. Assuming constancy of co-efficiency of production, the analysis is not in a position to solve this difficulty. 7. There is no mechanism for price adjustments in the input-output analysis which makes it unrealistic. “The analysis of cost-price relations proceeds on the assumption that each industrial sector adjusts the price of its output by just enough to cover the change in the case of its primary and intermediate output.” 8. The dynamic input-output analysis involves certain conceptual difficulties. First, the use of capital in production necessarily leads to stream of output at different points of time being jointly produced. But the input-output analysis rules out joint production. Second, it cannot be taken for investment and output will necessarily be non-negative. 9. The input-output model thrives on equations that cannot be easily arrived at. The first thing is to ascertain the pattern of equations, then to find out the necessary voluminous data. Equations presuppose the knowledge of higher mathematics and correct data are not so easy to ascertain. This makes the input-output model abstract and difficult.
By: Gurjeet Kaur ProfileResourcesReport error
Access to prime resources
New Courses