send mail to support@abhimanu.com mentioning your email id and mobileno registered with us! if details not recieved
Resend Opt after 60 Sec.
By Loging in you agree to Terms of Services and Privacy Policy
Claim your free MCQ
Please specify
Sorry for the inconvenience but we’re performing some maintenance at the moment. Website can be slow during this phase..
Please verify your mobile number
Login not allowed, Please logout from existing browser
Please update your name
Subscribe to Notifications
Stay updated with the latest Current affairs and other important updates regarding video Lectures, Test Schedules, live sessions etc..
Your Free user account at abhipedia has been created.
Remember, success is a journey, not a destination. Stay motivated and keep moving forward!
Refer & Earn
Enquire Now
My Abhipedia Earning
Kindly Login to view your earning
Support
Forms of Production Functions: Cobb Douglas, CES and Fixed coefficient type
Production function is the mathematical representation of relationship between physical inputs and physical outputs of an organization. There are different types of production functions that can be classified according to the degree of substitution of one input by the other. Various Roman and Greek authors have addressed many issues in economics included cursory attention to production and distribution. The Scholastics, including Saints Augustine and Thomas Aquinas, also devoted substantial time to economic matters including discussion and inquiries into production. Several authors associated with the Mercantilist and Physiocratic schools of thought also paid even more careful attention to matters of production in the economy. For example, Anne Robert Jacques Turgot, a member of the Physiocrats, is credited with the discovery around 1767 of the concept of diminishing returns in a one input production function. Of course Adam Smith himself devoted much time to issues concerning productivity and income distribution in his seminal 1776 book The Wealth of Nations.
The Classical economists who immediately followed Smith expanded on his work in the area of production theory. In 1815 Thomas Malthus and Sir Edward West discovered that if you were to increase labour and capital simultaneously then the agricultural production of the land would rise but by a diminishing amount. They both in effect rediscovered the concept of diminishing returns. David Ricardo later adopted this result in order to arrive with his theory of income distribution when writing his economic classic the Principles of Political Economy. The Marginalists also dabbled in the area of production. During the late 1800‘s W. Stanley Jevons, Carl Menger and Leon Walras all incorporated ideas of factor value into their writings. What these early post-Smith economists all had in common is that they all used production functions that were in fixed proportions. In other words the capital to labour ratios were not allowed to change as the level of output changed. Although interesting, in practice most production functions probably exhibit variable proportions. In the 1840‘s J. H. von Thunen developed the first variable proportions production function. He was the first to allow the capital to labor ratio to change. Von Thunen noticed that if we were to hold one input constant and increase the other input then the level of output would rise by diminishing amounts. In other words he applied the concept of diminishing returns to a two input, variable proportions production function for the first time.
An argument could definitely be made that he is the original discoverer of modern marginal productivity theory. His work never received the attention it deserved though. Instead during 1888 American economist John Bates Clark received credit for being the founder of marginal productivity theory based on his speech at the American Economic Association meetings that year. Shortly after in 1894 Philip Wicksteed demonstrated that if production was characterized by a linearly homogeneous function (in other words one that experiences constant returns to scale) then with each input receiving its marginal product the total product would then be absorbed in factor payments without any deficit or surplus. Around the turn of the century Knut Wicksell produced a production function very similar to the famous Cobb-Douglas production function later developed by Paul Douglas and Charles W. Cobb. In 1961, Kenneth Arrow, H.B. Chenery, B.S. Minhas and Robert Solow developed what became known as the Arrow-Chenery-Minhas-Solow or ACMS production function.
Later in the literature this became known as the constant elasticity of substitution or CES production function. This function allowed the elasticity of substitution to vary between zero and infinity. Once this value was established it would remain constant across all output and/or input levels. The Cobb-Douglas, Leontief and Linear production functions are all special cases of the CES function. In 1968 Y. Lu and L.B. Fletcher developed a generalized version of the CES production function. Their variable elasticity of substitution function allowed the elasticity to vary along different levels of output under certain circumstances. Recently there have been many developments with flexible forms of production functions. The most popular of these would be the transcendental logarithmic production function which is commonly referred to as the translog function.
The attractiveness of this type of function lies in the relatively few restrictions placed on items such as the elasticity of scale, homogeneity and elasticity of substitution. There are still problems with this type of function however. For example, the imposition of separability on the production function still involves considerable restrictions on parameters which would make the function less flexible than originally thought. The search for better, more tractable production functions continues. In microeconomics, a production function expresses the relationship between an organization's inputs and its outputs. A production function summarizes the relationship between inputs and outputs. It indicates, in mathematical or graphical form, what outputs can be obtained from various amounts and combinations of factor inputs. In particular it shows the maximum possible amount of output that can be produced per unit of time with all combinations of factor inputs, given current factor endowments and the state of available technology. The production function is a purely technical relation which connects the inputs and outputs. It is a functional relationship between inputs and outputs.
The terms technological or functional are used to indicate the fact that the prices of the factors of production or cost of production are not included in the production function. A production function describes the laws that govern the processes of transforming inputs into outputs. Unique production functions can be constructed for every production technology. In general, a production function is represented as Q = ƒ( x1, x2, x3, .....,xn) Where, Q is the maximum quantity of output, x1, x2, x3, .....,xn are the quantities of various inputs. The mathematical form of production function contains more details than the above general form. This is because production function can provide measurement of concepts in economics like the marginal productivity of factors of production, the marginal rate of substitution, elasticity of substitution, factor intensity, the efficiency of production, technology, and the return to scale. The general mathematical form of the production function is Q = ƒ( L, K, R, S, v, e) Where, L is labour input, K is capital input, R is raw material, S is land input, v is returns to scale and e is efficiency parameter. Here the efficiency parameter e is included to represent the fact that two firms with same factor inputs and same returns to scale can have different output due to efficient entrepreneurship or management.
Production function has been used as an important tool of economic analysis in the neoclassical tradition. It is generally believed that Philip Wicksteed (1894) was the first economist to algebraically formulate the relationship between output and inputs as p = f(x1, x2, …xn) although there are some evidences suggesting that Johann Von Thunen first formulated it in the 1840‘s . There are several ways of specifying a production function. One is as an additive production function, where the variables are added to each other. For example, Q= a + b X1 + c X2 + d X3, where a, b, c, and d are parameters that are determined empirically.
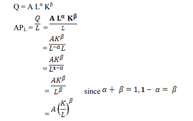
Another is multiplicative production function, where the variables are expressed in a multiplicative relation. For example Q = ALαK β (the Cobb-Douglas production function, details given later) . Other forms include the constant elasticity of substitution production function (CES) which is a generalized form of the Cobb-Douglas function, and the quadratic production function which is a specific type of additive function. The best form of the equation to use and the values of the parameters (a, b, c, and d) vary from company to company and industry to industry. In the short run production function, at least one of the Xs (inputs) is fixed. In the long run all factor inputs are variable at the discretion of management. There are two special classes of production functions that are frequently mentioned in textbooks but are seldom seen in reality.
Cobb-Douglas Production Function
n 1928, Charles Cobb and Paul Douglas presented the view that production output is the result of the amount of labor and physical capital invested. This analysis produced a calculation that is still in use today, largely because of its accuracy. The Cobb-Douglas production function reflects the relationships between its inputs - namely physical capital and labor - and the amount of output produced. It's a means for calculating the impact of changes in the inputs, the relevant efficiencies, and the yields of a production activity.
Here's the basic form of the Cobb-Douglas production function:
In this formula, Q is the quantity produced from the inputs L and K. L is the amount of labor expended, which is typically expressed in hours. K represents the amount of physical capital input, such as the number of hours for a particular machine, operation, or perhaps factory. A, which appears as a lower case b in some versions of this formula, represents the total factor productivity (TFP) that measures the change in output that isn't the result of the inputs. Typically, this change in TFP is the result of an improvement in efficiency or technology. The Greek characters alpha and beta reflect the output elasticity of the inputs. Output elasticity is the change in the output that results from a change in either labor or physical capital.
For example, if the output elasticity for physical capital (K) is 0.60 and K is increased by 20 percent, then output increases by 3 percent (0.6/0.2). The same is true for the output elasticity of labor: an increase of 10 percent in L with an output elasticity of 0.40 increases the output by 4 percent (0.4/0.1).
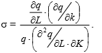
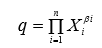
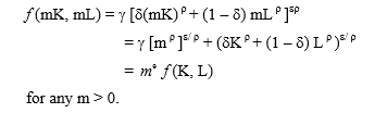
In Cobb-Douglas technology ,the producion function is defined in terms of technology set. Now all the competitive firms use maximum technology in their production functions. if we assume that the parameter is 1 the above equation shows the possible production, quantity of inputs, technology set of any firm. The Cobb-Douglas production function is given by: .....1 where A, a, and b are all positive constants. b=1-a Iso-quants resulting from the functional form have convex shape. The Cobb-Douglas function can exhibit any degree of returns scale depending on the values of a and b. Suppose all inputs were increased by a factor of m. Then, .....2 Hence, in the Cobb-Douglas function • a + b = 1 implies constant returns to scale • a + b > 1 implies increasing returns to scale • a + b < 1 implies decreasing returns-to-scale case. To determine the elasticity of substitution in Cobb-Douglas production function, let us use Allen’s definition ....3 ....4 Note that the Cobb-Douglas function is linear in logarithms, i.e., ln q = ln A + a ln K + b ln L. ...5 As a result, the constant a in (eqn. .5) is the elasticity of output with respect to capital input, and b is the elasticity of output with respect to labour input. To get the result, take ....6 eq,k = a from Equation ..5. Similarly, we get eq,L = b. The characteristics of Cobb- Douglas production function are as follows: i.) Makes it possible to change the algebraic form in log linear form, represented as follows: log Q = log A + a log K + b log L This production function has been estimated with the help of linear regression analysis. ii.)Makes it possible to change the algebraic form in log linear form, represented as follows: log Q = log A + a log K + b log L This production function has been estimated with the help of linear regression analysis. iii.) Acts as a homogeneous production function, whose degree can be calculated by the value obtained after adding values of a and b. If the resultant value of a + b is 1, it implies that the degree of homogeneity is 1 and indicates the constant returns to scale. iv.) Makes use of parameters a and b, which signifies the elasticity’ coefficients of output for inputs, labor and capital, respectively. Output elasticity coefficient refers to the change produced in output due to change in capital while keeping labor at constant. v.) Represents that there would be no production at zero cost. Out of all the production functions used in economics, the most popular production function is the Cobb Douglas production function, also known as the Cobb Douglas function. In economics, the Cobb Douglas form of production functions is widely used to represent the relationship of an output to inputs. Though similar functions were originally used by Knut Wicksell (1851–1926), the Cobb-Douglas form was developed and tested against statistical evidence by Charles Cobb and Paul Douglas. In the 1920s the economist Paul Douglas was working on the problem of relating inputs and output at the national aggregate level. A survey by the National Bureau of Economic Research found that during the decade 1909-1918, the share of output paid to labour was fairly constant at about 74% , despite the fact the capital/labour ratio was not constant. He enquired of his friend Charles Cobb, a mathematician, if any particular production function might account for this. This gave birth to the original Cobb-Douglas production function which they propounded in their 1928 paper, =A Theory of Production‘ The general form of a Cobb Douglas function is stated as where: Q = total production (the monetary value of all goods produced in a year), L = labour input, K = capital input and A = total factor productivity or technology, which is assumed to be a constant. Here α and β are the output elasticities of labour and capital, respectively. These values are constants and are determined by available technology. Output elasticity measures the responsiveness of output to a change in levels of either labour or capital used in production, ceteris paribus. For example if α = 0.15, a 1% increase in labour would lead to approximately a 0.15% increase in output. It is generally said that a strict Cobb Douglas function assumes constant returns to scale as α + β = 1.(since the returns to scale are measured mathematically by the coefficient of the production function). Cobb and Douglas were influenced by statistical evidence that appeared to show that labour and capital shares of total output were constant over time in developed countries. However, now many economists doubt whether constancy over time exists. But at your level of understanding, we say that for a Cobb Douglas function, α + β = 1 Properties of a Cobb-Douglass function 1). Cobb Douglas function is linearly homogenous of degree one. This means that when input is increased by λ, output also increases by λ. 2) Average products of capital and labour can be expressed in terms of ratios of inputs. Average product of labour can be obtained by dividing the production by the amount of labour Thus we have shown that the APL can be expressed as the raion of the two inputs K and L Similarly 3). Marginal product of capital and labour can be expressed in terms of ratios of inputs. Thus the marginal product of capital (MPK) can be expressed in terms of ratios of inputs L and K. It is also equal to β times APK. That is, Similarly the marginal product of capital (MPL) can be expressed in terms of ratios of inputs L and K. Symbolically It is also equal to α times APL. That is 4. Cobb Douglasfunction satisfies Euler‘s theorem. 5. Elasticity of substitution of a Cobb Douglasfunction is unity*. (*The elasticity of substitution was introduced independently by John Hicks (1932) and Joan Robinson (1933) to measure the degree of substitutability between any pair of factors. Elasticity of substitution is the elasticity of the ratio of two inputs to a production function with respect to the ratio of their marginal products. It measures the curvature of an isoquant and thus, the substitutability between inputs, i.e. how easy it is to substitute one input for the other.) 6. Factor intensity: In Cobb Douglas function Q = A Lα K β , the factor intensity is measured by the ratio . The higher this ratio, the more labour intensive the technique; the lower the ratio, the more capital intensive the technique. 7. A strict Cobb Douglas function represents constant returns to scale since α +β = 1. . Importance of a Cobb Douglas function The Cobb Douglas function is an analytical tool commonly used in economics which has the following uses 1. Cobb Douglas function can be used to determinate marginal productivity of labour and capital. Hence it can be used in the determination of wages and interest. 2. The parameters α and β of the function represents elasticity coefficient. These elasticity coefficients are helpful in inter-sectoral comparison in an economy and for the long run analysis of production i.e. returns to scale. As in the usual case of a C-D function, when α + β = 1, we have constant returns to scale and the function is linear homogenous. 3. C-D function helps to compute elasticity values for inter sectoral comparisons. 4. Cobb Douglas function is widely used in econometrics. 5. This production function helps us to study the different laws, of returns to scale. 6. This function is used to test laws of returns and substitutability of factors. Limitations of a Cobb Douglas function Cobb and Douglas were influenced by statistical evidence that appeared to show that labour and capital shares of total output were constant over time in developed countries; they explained this by statistical fitting least-squares regression of their production function. However, there is now doubt over whether constancy over time exists. Neither Cobb nor Douglas provided any theoretical reason why the coefficients α and β should be constant over time or be the same between sectors of the economy. Remember that the nature of the machinery and other capital goods (the K) differs between time-periods and according to what is being produced. So do the skills of labor (the L). The Cobb-Douglas production function was not developed on the basis of any knowledge of engineering, technology, or management of the production process. It was instead developed because it had attractive mathematical characteristics, such as diminishing marginal returns to either factor of production. Crucially, there are no micro foundations for it. In the modern era, economists have insisted that the micro-logic of any larger-scale process should be explained. The Cobb Douglas production function fails this test. It is thus a mathematical mistake to assume that just because the Cobb-Douglas function applies at the micro-level, it also applies at the macro-level. Similarly, there is no reason that a macro CobbDouglas applies at the disaggregated level. 1. A Cobb Douglas function contains only two inputs labour and capital, but actually there may be more capital. 2. The parameter α and β can represent the labour and capital share only if there is perfect competition for labour and capital. 3. In most of the case this production function represents constant returns to scale. Other possibilities are sidetracked. 4. This function assumes that, technological conditions remain constant. But the production change due to change in technology is reality. Thus this function is based on the unrealistic assumption of stagnant technology. Fixed Proportions Production Function The fixed-proportions production function is given by: ...1 where the operator “min” indicates that q is given by the smaller of the two values in parentheses. See that in this formulation capital and labour are used in a fixed ratio. Consequently, its iso-quants are L-shaped.A firm characterised by this production function will always operate along the ray where the ratio K/L is fixed at b/a and any point of operation other than at the vertex of the iso-quants would be inefficient. Because K/L is a constant, it is easy to see from the definition of the elasticity of substitution that σ must equal 0. With the form reflected by Equation 1, the fixed proportion production function exhibits constant returns to scale since for any m > 0, increasing or decreasing returns can be easily incorporated into the function by using a nonlinear transformation of the functional form. CES Production Function The constant elasticity of substitution (CES) production function is given by It is important to note that γ shifts the production function and is called the efficiency parameter; δ allows is K and L to vary and is called a distribution parameter and ρ is the substitution parameter. In case of higher the elasticity of substitution, ρ is equal to its maximum value of 1. It can be shown that for the constant returns-to-scale case so that CES function incorporates the linear, fixed-proportions and Cobb Douglas functions as special cases (for ρ = 1, – ∝, and 0 respectively). In particular, for ρ = 0, CES production function approaches a Cobb-Douglas function of the form Further, it explains the use of the term distribution parameter for the parameter δ, since the exponents of the Cobb-Douglas function with constant returns to scale equal competitively determined factor income shares. It can be shown that CES function exhibits increasing, constant or decreasing returns to scale depending on the parameter ε > 1, ε = 1, or ε < 1: Many-Input Cases As we have stated earlier, the two-input cases of production functions can be generalised to many-input ones. In the following, we present Cobb-Douglas and CES formulations along with Generalised Leontif and Translog production functions. In all of these examples, β’s are nonnegative parameters, and the n inputs are represented by X1 … Xn. Cobb-Douglas A many-input Cobb-Douglas production function is given by: where Xi for i = 1, 2………n represents input and parameter βi, the non-negative input coefficient. The function would exhibit constant returns to scale if 1. n i ti β = =∑ Any degree of increasing returns to scale can be incorporated into this function depending on . n i ti β = ∑ CES The many-input CES production function is given by the function is under constant returns to scale while for ε > 1 it would be under increasing returns to scale. Generalised Leontief The many-input Leontief production function is given by We need to impose the symmetry condition of βij = βji to ensure the fulfillment of second-order partial derivatives. The function exhibits constant returns to scale and increasing returns to scale can be incorporated into the function by using the transformation q' = qε, ε > 1. Translog The translog production function is written as The condition is βij = βjt is required to assure the equality of cross-partial derivatives. The important features of the function are: • flexibility of capturing any degree of returns to scale. If ∑ = n i 1 iβ = 1 and ∑=ni 1ijβ = 0 for all i, it exhibits constant returns to scale • depiction of Cobb-Douglas function as a special case if β0 = βij = 0 for all i, j. n
the above equation shows the possible production, quantity of inputs, technology set of any firm.
The Cobb-Douglas production function is given by:
.....1
where A, a, and b are all positive constants.
b=1-a
Iso-quants resulting from the functional form have convex shape. The Cobb-Douglas function can exhibit any degree of returns scale depending on the values of a and b. Suppose all inputs were increased by a factor of m. Then,
.....2
Hence, in the Cobb-Douglas function
• a + b = 1 implies constant returns to scale
• a + b > 1 implies increasing returns to scale
• a + b < 1 implies decreasing returns-to-scale case.
To determine the elasticity of substitution in Cobb-Douglas production function, let us use Allen’s definition
....3
....4
Note that the Cobb-Douglas function is linear in logarithms, i.e.,
ln q = ln A + a ln K + b ln L. ...5
As a result, the constant a in (eqn. .5) is the elasticity of output with respect to capital input, and b is the elasticity of output with respect to labour input. To get the result, take
....6
eq,k = a from Equation ..5. Similarly, we get eq,L = b.
The characteristics of Cobb- Douglas production function are as follows:
i.) Makes it possible to change the algebraic form in log linear form, represented as follows:
log Q = log A + a log K + b log L
This production function has been estimated with the help of linear regression analysis.
ii.)Makes it possible to change the algebraic form in log linear form, represented as follows:
iii.) Acts as a homogeneous production function, whose degree can be calculated by the value obtained after adding values of a and b. If the resultant value of a + b is 1, it implies that the degree of homogeneity is 1 and indicates the constant returns to scale.
iv.) Makes use of parameters a and b, which signifies the elasticity’ coefficients of output for inputs, labor and capital, respectively. Output elasticity coefficient refers to the change produced in output due to change in capital while keeping labor at constant.
v.) Represents that there would be no production at zero cost.
Out of all the production functions used in economics, the most popular production function is the Cobb Douglas production function, also known as the Cobb Douglas function. In economics, the Cobb Douglas form of production functions is widely used to represent the relationship of an output to inputs. Though similar functions were originally used by Knut Wicksell (1851–1926), the Cobb-Douglas form was developed and tested against statistical evidence by Charles Cobb and Paul Douglas. In the 1920s the economist Paul Douglas was working on the problem of relating inputs and output at the national aggregate level. A survey by the National Bureau of Economic Research found that during the decade 1909-1918, the share of output paid to labour was fairly constant at about 74% , despite the fact the capital/labour ratio was not constant. He enquired of his friend Charles Cobb, a mathematician, if any particular production function might account for this. This gave birth to the original Cobb-Douglas production function which they propounded in their 1928 paper, =A Theory of Production‘
The general form of a Cobb Douglas function is stated as where: Q = total production (the monetary value of all goods produced in a year), L = labour input, K = capital input and A = total factor productivity or technology, which is assumed to be a constant. Here α and β are the output elasticities of labour and capital, respectively. These values are constants and are determined by available technology. Output elasticity measures the responsiveness of output to a change in levels of either labour or capital used in production, ceteris paribus. For example if α = 0.15, a 1% increase in labour would lead to approximately a 0.15% increase in output. It is generally said that a strict Cobb Douglas function assumes constant returns to scale as α + β = 1.(since the returns to scale are measured mathematically by the coefficient of the production function). Cobb and Douglas were influenced by statistical evidence that appeared to show that labour and capital shares of total output were constant over time in developed countries. However, now many economists doubt whether constancy over time exists. But at your level of understanding, we say that for a Cobb Douglas function, α + β = 1
Properties of a Cobb-Douglass function
1). Cobb Douglas function is linearly homogenous of degree one. This means that when input is increased by λ, output also increases by λ.
2) Average products of capital and labour can be expressed in terms of ratios of inputs. Average product of labour can be obtained by dividing the production by the amount of labour
Thus we have shown that the APL can be expressed as the raion of the two inputs K and L Similarly
3). Marginal product of capital and labour can be expressed in terms of ratios of inputs.
Thus the marginal product of capital (MPK) can be expressed in terms of ratios of inputs L and K. It is also equal to β times APK. That is,
Similarly the marginal product of capital (MPL) can be expressed in terms of ratios of inputs L and K. Symbolically
It is also equal to α times APL. That is
4. Cobb Douglasfunction satisfies Euler‘s theorem.
5. Elasticity of substitution of a Cobb Douglasfunction is unity*. (*The elasticity of substitution was introduced independently by John Hicks (1932) and Joan Robinson (1933) to measure the degree of substitutability between any pair of factors. Elasticity of substitution is the elasticity of the ratio of two inputs to a production function with respect to the ratio of their marginal products. It measures the curvature of an isoquant and thus, the substitutability between inputs, i.e. how easy it is to substitute one input for the other.)
6. Factor intensity: In Cobb Douglas function Q = A Lα K β , the factor intensity is measured by the ratio . The higher this ratio, the more labour intensive the technique; the lower the ratio, the more capital intensive the technique.
7. A strict Cobb Douglas function represents constant returns to scale since α +β = 1. .
Importance of a Cobb Douglas function
The Cobb Douglas function is an analytical tool commonly used in economics which has the following uses
1. Cobb Douglas function can be used to determinate marginal productivity of labour and capital. Hence it can be used in the determination of wages and interest.
2. The parameters α and β of the function represents elasticity coefficient. These elasticity coefficients are helpful in inter-sectoral comparison in an economy and for the long run analysis of production i.e. returns to scale. As in the usual case of a C-D function, when α + β = 1, we have constant returns to scale and the function is linear homogenous.
3. C-D function helps to compute elasticity values for inter sectoral comparisons.
4. Cobb Douglas function is widely used in econometrics.
5. This production function helps us to study the different laws, of returns to scale.
6. This function is used to test laws of returns and substitutability of factors.
Limitations of a Cobb Douglas function
Cobb and Douglas were influenced by statistical evidence that appeared to show that labour and capital shares of total output were constant over time in developed countries; they explained this by statistical fitting least-squares regression of their production function. However, there is now doubt over whether constancy over time exists. Neither Cobb nor Douglas provided any theoretical reason why the coefficients α and β should be constant over time or be the same between sectors of the economy. Remember that the nature of the machinery and other capital goods (the K) differs between time-periods and according to what is being produced. So do the skills of labor (the L). The Cobb-Douglas production function was not developed on the basis of any knowledge of engineering, technology, or management of the production process. It was instead developed because it had attractive mathematical characteristics, such as diminishing marginal returns to either factor of production. Crucially, there are no micro foundations for it. In the modern era, economists have insisted that the micro-logic of any larger-scale process should be explained. The Cobb Douglas production function fails this test. It is thus a mathematical mistake to assume that just because the Cobb-Douglas function applies at the micro-level, it also applies at the macro-level.
Similarly, there is no reason that a macro CobbDouglas applies at the disaggregated level.
1. A Cobb Douglas function contains only two inputs labour and capital, but actually there may be more capital.
2. The parameter α and β can represent the labour and capital share only if there is perfect competition for labour and capital.
3. In most of the case this production function represents constant returns to scale. Other possibilities are sidetracked.
4. This function assumes that, technological conditions remain constant.
But the production change due to change in technology is reality. Thus this function is based on the unrealistic assumption of stagnant technology.
Fixed Proportions Production Function
The fixed-proportions production function is given by:
...1
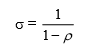
where the operator “min” indicates that q is given by the smaller of the two values in parentheses. See that in this formulation capital and labour are used in a fixed ratio. Consequently, its iso-quants are L-shaped.A firm characterised by this production function will always operate along the ray where the ratio K/L is fixed at b/a and any point of operation other than at the vertex of the iso-quants would be inefficient. Because K/L is a constant, it is easy to see from the definition of the elasticity of substitution that σ must equal 0.
With the form reflected by Equation 1, the fixed proportion production function exhibits constant returns to scale since
for any m > 0, increasing or decreasing returns can be easily incorporated into the function by using a nonlinear transformation of the functional form.
CES Production Function
The constant elasticity of substitution (CES) production function is given by
It is important to note that γ shifts the production function and is called the efficiency parameter; δ allows is K and L to vary and is called a distribution parameter and ρ is the substitution parameter. In case of higher the elasticity of substitution, ρ is equal to its maximum value of 1. It can be shown that for the constant returns-to-scale case
so that CES function incorporates the linear, fixed-proportions and Cobb Douglas functions as special cases (for ρ = 1, – ∝, and 0 respectively). In particular, for ρ = 0, CES production function approaches a Cobb-Douglas function of the form
Further, it explains the use of the term distribution parameter for the parameter δ, since the exponents of the Cobb-Douglas function with constant returns to scale equal competitively determined factor income shares. It can be shown that CES function exhibits increasing, constant or decreasing returns to scale depending on the parameter ε > 1, ε = 1, or ε < 1:
Many-Input Cases As we have stated earlier, the two-input cases of production functions can be generalised to many-input ones. In the following, we present Cobb-Douglas and CES formulations along with Generalised Leontif and Translog production functions. In all of these examples, β’s are nonnegative parameters, and the n inputs are represented by X1 … Xn. Cobb-Douglas A many-input Cobb-Douglas production function is given by:
where Xi for i = 1, 2………n represents input and parameter βi, the non-negative input coefficient.
The function would exhibit constant returns to scale if 1. n i ti β = =∑ Any degree of increasing returns to scale can be incorporated into this function depending on . n i ti β = ∑
CES
The many-input CES production function is given by
the function is under constant returns to scale while for ε > 1 it would be under increasing returns to scale.
Generalised Leontief The many-input Leontief production function is given by
We need to impose the symmetry condition of βij = βji to ensure the fulfillment of second-order partial derivatives. The function exhibits constant returns to scale and increasing returns to scale can be incorporated into the function by using the transformation q' = qε, ε > 1.
Translog
The translog production function is written as
The condition is βij = βjt is required to assure the equality of cross-partial derivatives. The important features of the function are:
• flexibility of capturing any degree of returns to scale. If ∑ = n i 1 iβ = 1 and ∑=ni 1ijβ = 0 for all i, it exhibits constant returns to scale • depiction of Cobb-Douglas function as a special case if β0 = βij = 0 for all i, j. n
By: Gurjeet Kaur ProfileResourcesReport error
Access to prime resources
New Courses