send mail to support@abhimanu.com mentioning your email id and mobileno registered with us! if details not recieved
Resend Opt after 60 Sec.
By Loging in you agree to Terms of Services and Privacy Policy
Claim your free MCQ
Please specify
Sorry for the inconvenience but we’re performing some maintenance at the moment. Website can be slow during this phase..
Please verify your mobile number
Login not allowed, Please logout from existing browser
Please update your name
Subscribe to Notifications
Stay updated with the latest Current affairs and other important updates regarding video Lectures, Test Schedules, live sessions etc..
Your Free user account at abhipedia has been created.
Remember, success is a journey, not a destination. Stay motivated and keep moving forward!
Refer & Earn
Enquire Now
My Abhipedia Earning
Kindly Login to view your earning
Support
LAWS OF RETURN IN PRODUCTION
Laws of production explain the phenomena of production by organizations. These laws are classified into following categories.
b. Modern View Point: Only one factor is variable while other factors are kept constant. Law of variable proportion is based upon this modern view point.
c. A type of production function in which quantities of all inputs can be changed to produce output of different quantities. This law is referred to as law of returns to scale.
Therefore, the production function is explained in two different time periods : (i) Short run. (ii) Long run.
SHORT PERIOD PRODUCTION
Short period in production refers to a time when some inputs remain fixed. A fixed input is one, whose quantity cannot be changed readily, whereas, a variable input varies with production. Inputs like land, building and major pieces of machinery cannot be varied easily and, therefore, can be called fixed inputs. On the other hand, inputs like labour (labour hours), raw materials, and processed materials can be easily increased or decreased. Therefore, these are categorised as variable inputs. Depending on whether inputs can be kept fixed or not, we have a short period or a long period. To put this more precisely, if inputs being used in the production process have just enough time such that they cannot be varied, then the analysis pertains to the short-run. On the other hand, if the inputs employed have enough time such that they are amenable to variation, then the analysis is based on the frame work of long-run. Generally, the firms do not readily change their capital, which could be land, machinery, managerial and technical personnel. Therefore, these are fixed input in the short-run. When we treat these under Κ, the production function can be written as q = F(L, K) where L = Labour, a variable factor K= Capital, a fixed factor
LAW OF VARIABLE PROPORTION
This Law shows the nature of rate of change in output due to a change in only one variable factor of production. This Law is applicable during the short-run, when a firm can change its output by changing only the variable factor (say labour), while the fixed factors of production remain unchanged. In this case, the factor proportion (i.e. capital/ labour, K/L) will gradually fall with an increase in L. Since K remains unchanged.
There exists three concepts:
“Total Product”, “Average Product”, “Marginal Product”
Total product: It indicates the amount of a particular product produced by any firm using both fixed & variable factors of production during any particular time period e.g. a firm may produce 30 units of a product per day by using one unit of capital (K) & 3 units of labour (L). Since the fixed factor (K) remains unchanged during the short-run, we may call it the total product of a variable factor.
Marginal product : It is the rate of change in total product or change in total product due to one additional change in variable factor.
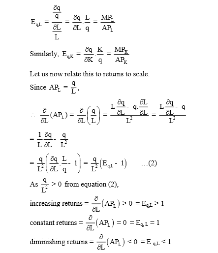
Total output when there is a variation in labour utlilisation, keeping the other factor K, fixed. Thus, the marginal physical product, which shows the change in output quantity for a unit change in the quantity of an input, (L), when all other inputs (K) are held constant. Mathematically, it is given by the first partial derivative of a production function with respect to labour. Thus,
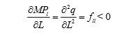
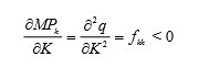
It is reasonable to expect that the marginal product of an input depends on the quantity used of that input. In the above example, use of labour is made keeping the amount of other factors (such as equipments and land) fixed. Continued use of labour would eventually exhibit deterioration in its productivity. Thus, the relationship between labour input and total output can be recorded to show the declining marginal physical productivity. Mathematically, the diminishing marginal physical productivity is assessed through the second-order partial derivative of the production function. Thus, change in labour productivity can be presented as:
Similarly, change in productivity of capital is denoted by
Average Product
It implies output per unit of a variable factor. If total product = 30units&three workers are employed to produce that output. Average Product (AP) of a Factor The productivity of a factor is often seen in terms of its average contribution. Although not very important in the theoretical discussions, where analytical insight is tried to be drawn from marginal productivities, average productivity finds a platform in empirical evaluations. Deriving it from the total product is relatively easy. It is the output per unit of a factor.
RETURNS TO FACTOR This is a short-run concept which deals with the variability of only one factor keeping the others constant. There are three kinds of returns:
i) Increasing returns: when the AP of a factor rises and MP > AP
ii) Constant returns: when AP is constant and MP = AP
iii) Diminishing returns: when AP is falling MP < AP
The concept of returns to a factor can also be expressed in terms of the “partial input elasticity of output”. Partial Input Elasticity of Output Partial input elasticity of output is also called elasticity of output with respect to a factor. It is the percentage change in output quantity for one per cent change in the quantity of a factor when all other factors remain constant. Elasticity of q with respect to L is given by,
Besides the above mentioned three returns, there can be another type known as the ‘non-proportional returns to a variable factor’. Under it, initially, there is increasing returns to a factor up to a certain level beyond which there is diminishing returns.
Graphical Representation of Various Returns
Diminishing Returns:
If the TP curve is as shown in the adjacent , then the MPL given by tanθ is throughout less than the APL given by tan
Increasing Returns: Here AP rises and tan < tanθ, for all L. Therefore, MP > AP
Constant Returns : Here, APL is constant and tanθ = tan , therefore, MPL = APL as is shown by a horizontal straight line in the Figure
During Short-run period there are three possible returns to a factor
The TP curve is such that upto point A, MP is rising and so is AP and MP > AP, as shown in the diagram below. Beyond point A, MP falls but AP rises, till the two are equated at point B. At B, AP is maximised. AP falls beyond the point B. At point C, the TP curve flattens out and therefore, MP = 0. Beyond C, MP is negative and AP is falling. Therefore, in the case of nonproportional return, both MP and AP rise, initially. MP reaches a maximum earlier than AP. When they both are equated, AP is maximised. Finally, there is a situation where both are falling. Depending on the nature of MP and AP, the production process can be divided into three stages – I, II, and III, as shown in Figure Characteristics of the three stages are :
Stage I: MP > 0, AP rising, thus MP > AP
Stage II: MP > 0, AP falling, thus MP < AP
Stage III: MP < 0, AP falling
In stage I, by adding one more unit of L, the producer can increase the average productivity of all the units. Thus, it would be unwise for the producer to stop production in this stage.
In stage III, MP < 0, so that by reducing the L input, the producer can increase the total output and save the cost of a unit of L. Therefore, it is impractical for a producer to produce in this stage.
Hence, stage II represents the economically meaningful range. This is so because here MP > 0 and AP > MP. So that an additional L input would raise the total production. Besides, it is in this stage that the TP reaches a maximum.
LONG PERIOD ANALYSIS Long period refers to a time when all the factors are variable. Earlier in the short period analysis, we had considered capital (K) to be fixed factor. Here in this part, we assume both L and K to be variable factors. Therefore, the production function would be: q = F(L, K) The producer can now employ L and K units at her will to produce output q as per the production technology. Therefore, in the K – L input space the producer can choose any combination of K and L to produce output.
RETURNS TO SCALE It is a typical long-run concept and involves the effect of change in inputs on the quantity of output produced. There are three types of returns to scale. For 1% change in all the factors, if correspondingly, output changes by a) 1%, then there is said to be Constant Returns to Scale (CRS) b) Less than 1%, then there is decreasing Returns to Scale (DRS) c) More than 1%, then there is Increasing Returns to Scale (IRS). Diagrammatic Representation Constant Returns to Scale As there is CRS, along a ray through the origin, the distance between the consecutive iso-quants remains the same
Decreasing Returns to Scale As there is DRS, along a ray through the origin, the distance between the consecutive iso-quants increases
Increasing Returns to Scale As there is IRS, along a ray through the origin, the distance between the consecutive iso-quants is less
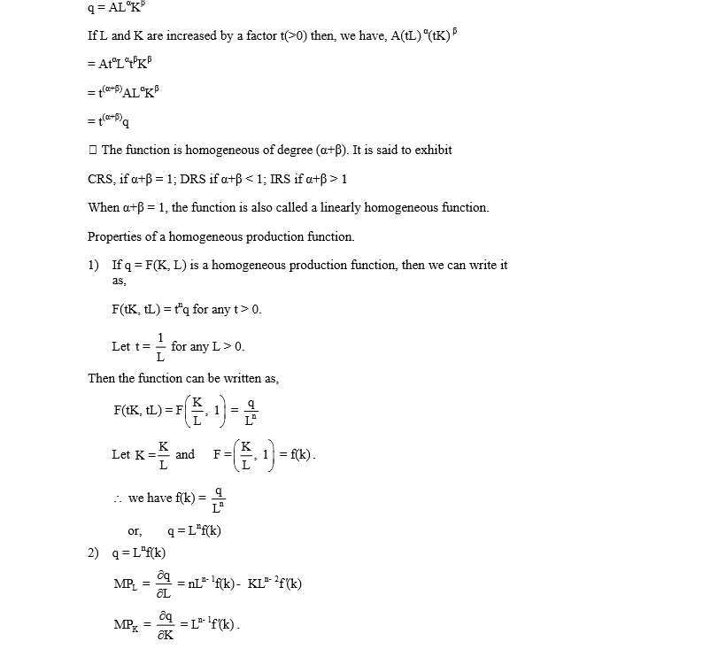
HOMOGENEOUS PRODUCTION FUNCTION The concept of returns to scale can be captured asily using the concept of homogeneity of production functions. A production function say, z = f(x, y) is said to be homogeneous of degree n in x and y, if and only if, f(tx, ty) = tnz for any t > 0. If n = 1, then f(tx, ty) = tz, then the function is said to exhibit CRS. It is also known as a linearly homogeneous production function. If n > 1, then the function exhibits IRS and when n< 1, it exhibits DRS. Example: Suppose we have a production function, If n > 1, then the function exhibits IRS and when n< 1, it exhibits DRS.
Example: Suppose we have a production function,
It may be useful to remember that homogenous production function is a special case of homothetic production functions. To take note of the concept, you must look for the ratio MPL/MPK, which does not change with any proportionate change in L and K in case of homothetic production function. The difference this formulation has with that of homogenous production function can be seen from the iso-quants given in Figure. The production function is homothetic if slope of Q1 at A1 = slope of Q2 at A2 and slope of Q1 at B1 = slope of Q1 at B2 In contrast to this feature, the homogenous production function would have
OA2/OA1 = OB2/OB1.
By: Gurjeet Kaur ProfileResourcesReport error
Access to prime resources
New Courses