send mail to support@abhimanu.com mentioning your email id and mobileno registered with us! if details not recieved
Resend Opt after 60 Sec.
By Loging in you agree to Terms of Services and Privacy Policy
Claim your free MCQ
Please specify
Sorry for the inconvenience but we’re performing some maintenance at the moment. Website can be slow during this phase..
Please verify your mobile number
Login not allowed, Please logout from existing browser
Please update your name
Subscribe to Notifications
Stay updated with the latest Current affairs and other important updates regarding video Lectures, Test Schedules, live sessions etc..
Your Free user account at abhipedia has been created.
Remember, success is a journey, not a destination. Stay motivated and keep moving forward!
Refer & Earn
Enquire Now
My Abhipedia Earning
Kindly Login to view your earning
Support
The Stolper-Samuelson Theorem
Thus begins Stolper and Samuelson’s (1941) analysis of the effect of protection on real wages, a landmark contribution to the modern theory of international trade. The central result, now known as the Stolper-Samuelson theorem, is that “international trade necessarily lowers the real wage of the scarce factor expressed in terms of any good.” The paper signals a transition in the debate among international economists concerning the welfare consequences of free trade, from largely verbal reasoning toward the use of formal general-equilibrium models. Derived in a simple framework of two homogeneous factors, each freely mobile between two domestic industries, the Stolper-Samuelson theorem is striking because it demonstrates that a productive factor’s ability to relocate from an import-competing to an export industry does not prevent a loss in real income due to expanded trade. Moreover, it shows that the sharp redistributive consequences of trade do not depend on tastes or expenditure patterns.
The neoclassical H-O trade model used by Stolper and Samuelson (1941) assumes that goods of a particular industry are perfect substitutes, regardless of the country of origin, and that costs of production depend on wages of factors, whose supply in each country is fixed. Transport costs and technology differences are assumed to be negligible.
In a model with two factors, say skilled and unskilled labour, as countries reduce trade barriers, the relative prices of skill-intensive goods will rise in skill-rich countries, and fall in skill-poor countries. As this happens, Stolper and Samuelson predict a rise in skilled wages and a fall (absolute as well as relative) in unskilled wages in the skill-rich countries. Under free trade, according to some versions of the theory, wages of one factor (skilled or unskilled) would be equal across all countries.
The implications of this model are disturbing for advanced countries. The current globalisation tendency can be seen as an opening up to increased trade between the skill-rich advanced countries and developing countries. While the H-O theory predicts this would benefit GNP in both advanced and developing countries, in the former this would be at the expense of falling unskilled wages and increasing inequality. Further, Stolper-Samuelson casts doubt on the popular policy response: to improve education and training. Leamer and Levinsohn (1995) pointed out, if factor wages under free trade are effectively set on World markets, then skilled and unskilled wages in a small, open economy will be insensitive to changes in relative factor endowments (though skill-upgrading policies carried out in concert by all advanced countries could affect wages, by affecting global endowments).
In what way the international trade and relative changes in the factor prices would affect the distribution of income, was worked out by W.F. Stopler and Paul Samuelson on the basis of the H-O theory. The theorem developed by these writers stated that commencement of free international trade would benefit the relatively abundant factor and hurt the relatively scarce factor of production.
Birth of a theorem
According to Samuelson (1994), the collaboration arose from Wolfgang Stolper’s efforts to reconcile the new general-equilibrium trade theory with the work of earlier economists: “How can Haberler and Taussig be right about the necessary harm to a versatile factor like labor from America’s tariff, when the Ohlin theory entails that free trade must hurt the factor that is scarce relative to land?” Stolper’s friend and junior colleague, first the sounding board, eventually became “the midwife, helping to deliver Wolfie’s brain child.” The infant prospered.
Earlier analyses of the effect of free trade on real wages had emphasized the implications of trade for productive efficiency. In the long run, free trade would increase demand for the country’s comparative-advantage goods and thereby shift employment toward the domestic industries where labor is most productive. The classical economists had typically assumed a one-factor model or, equivalently, that productive factors were used in unvarying proportions both within and across industries. In either case, trade could have no redistributive consequences within a country. Although Stolper and Samuelson’s teachers and contemporaries recognized the implications of changing factor proportions for income shares, their analyses were based on a partial-equilibrium model of a protected industry. While elimination of tariffs might cause the money wage to fall, the resulting reduction in the prices of the goods workers buy with their wages was presumed to be larger. The real wage was thus anticipated to rise, at least in terms of imported goods and most likely overall, though the effect would depend on the relative importance of imported and exported goods in workers’ total expenditure.
The general-equilibrium trade theory introduced by Eli Heckscher and Bertil Ohlin opened a new line of inquiry focusing on differences in relative factor intensity across industries and differences in relative factor abundance across countries. Stolper and Samuelson adopted this approach and coined the now-standard terminology “Heckscher-Ohlin theorem” to refer to the proposition that “each country will export those commodities which are produced with its relatively abundant factors of production, and will import those in the production of which its relatively scarce factors are important.”
Assumptions of the Stopler-Samuelson Theorem:
The theorem developed by these two writers, called as Stopler-Samuelson Theorem, rests upon the following main assumptions:
(i) One of the two trading countries, considered for analysis, produces two commodities—cloth and steel, and employs only two factors—labour and capital.
(ii) The production function for each of the two commodities is homogenous of first degree. It implies that the production is governed by constant returns to scale.
(iii) Both labour and capital are fully employed.
(iv) The two factors of production are fixed in supply.
(v) The conditions of perfect competition exist both in the product and factor markets.
(vi) The given country is labour-abundant and capital-scarce.
(vii) The cloth is labour-intensive good while steel is capital-intensive good.
(viii) The international terms of trade are fixed.
(ix) Neither commodity is the input in the production of the other commodity.
(x) Both the factors are mobile between two industries or sectors but these are not mobile between the two countries.
(xi) There is an absence of transport costs.
Given the above assumptions, the Stopler- Samuelson Theorem can be explained through Edgeworth Box shown in Fig. 8.10.
In Fig. 8.10, the Edgeworth box shows that the given country is labour-abundant and capital-scarce. A is the origin for labour-intensive goods—cloth and C is the point of origin for the capital-intensive good—steel. AC is the non-linear contract curve sagging below. In the absence of trade, production takes place at R, which is the point of tangency of isoquant X0 of cloth, isoquant Y0 of steel and the factor price line P0P0.
K-L Ratio in cloth at R = Slope of line AR = Tan α
K-L Ratio in steel at R = Slope of line RC = Tan β
When trade commences, this labour-surplus country expands the production of cloth (L- good) and reduces the production of steel (K-good). The production now takes place at S, which is the point of tangency of higher isoquant X1 of cloth, lower isoquant Y1 of steel and the factor price line P1P1.
K-L Ratio in cloth at S = Slope of line AS = Tan α1
K-L Ratio in cloth at S = Slope of line SC = Tanβ1
Since Tan α1 > Tan α and Tan β1 > Tan β, the K-L ratio rises in both the commodities in this country. The factor price line P1P1 is more steep than the original factor price line P0P0. It signifies that the price of labour rises relative to the price of capital. As the production of exportable commodity cloth expands, the resources are diverted from the steel industry to the cloth industry. The increased production of cloth and resource diversion to this industry will cause a rise in the price of cloth relative to that of steel. It may be shown through Fig. 8.11.
Fig. 8.11 measures L-good cloth along the horizontal scale and K-good steel along the vertical scale. AA is the production possibility curve. Its slopes indicates that this country is labour-abundant and capital-scarce. In the absence of trade (i.e., autarchy), the production takes place at R. This point corresponds with point R in Fig. 8.10.
As the production of cloth is expanded after the commencement of trade, production takes place at S. This point corresponds with point S in Fig. 8.10. The slope of the production possibility curve at S is greater than its slope at R. This is represented by more steepness of price line P1P1 than P0P0.
From this it follows that:
It signifies that price of cloth increases while that of steel falls.
Such relative changes in the prices of two commodities promote greater diversion of resources from steel industry to the cloth industry. The expanding cloth industry wants to employ more workers than are being released by the contracting steel industry. This results in the bidding up of the price of labour. At the same time, the steel industry releases capital which the cloth industry can absorb only at the lower price of capital.
The increased employment of labour along with the higher price of labour (wage rate) implies that the absolute income share of labour in the national income rises. On the other hand, the reduced employment of capital along with a fall in its price (rate of interest) lowers the absolute share of capital. From it follows the conclusion of Stopler-Samuelson Theorem that international trade would benefit the abundant factor and hurt the scarce factor.
The Stolper-Samuelson analysis
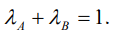
Formalizing the logic of the Heckscher-Ohlin model, Stolper and Samuelson assumed two homogeneous goods A and B, each produced under constant returns to scale using labor L and capital K, but with good A using more capital relative to labor than good B. The two factors were assumed fixed in total supply but freely mobile between the country’s two industries:
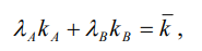
The two full-employment conditions together imply that the economy’s overall capital-labor ratio can be expressed as the weighted average of the capital-labor ratios kA and kB used in the two industries:
where and are the shares of the total labor supply used in the two industries, Thus, as the production mix moves toward specialization in good A and approaches unity, the capital-labor ratio used in A production must fall toward .
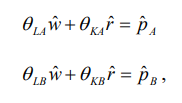
Factor mobility and perfect competition together imply that the equilibrium factor returns w and r are equal across industries, and the return to each factor is equal to the value of its marginal product in that industry:
The ratio of the marginal physical products of the two factors must therefore be equal across industries:
Stolper and Samuelson used an Edgeworth-Bowley box diagram to represent the model geometrically. Each point in the box represents a feasible full-employment allocation of the factors between the two industries. Points along the contract curve indicate alternative efficient allocations of the two factors between industries and thus alternative efficient output combinations for the economy, with a one-to-one correspondence between points on the contract curve and points on the economy’s production possibility frontier. At the corners of the box representing specialization in one of the two products, the capital-labor ratio in the industry of specialization must equal the country’s overall capital-labor ratio. In between, where both goods are produced, the capital-labor ratios in the two industries change systematically, with both falling monotonically as the economy moves from production only of labor-intensive B toward production only of capital-intensive A. As a consequence of the changing capital-labor ratios in the two industries, the physical marginal product of labor must fall, and the physical marginal product of capital must rise, in both industries as the economy produces more A and less B.
The actual output combination produced depends on the relative price pA / pB . Although their original motivation was to shed new light on the effect of protection on wages, Stolper and Samuelson avoided further consideration of the details of trade by focusing on the resulting change in the domestic relative price of the goods. Their result is thus applicable to a change in relative price that occurs for any other reason. Trade would reduce the relative price of the import-competing good, which by the Heckscher-Ohlin theorem was assumed to be laborintensive B for the United States, a labor-scarce country. The lower relative price of good B would cause a shift in the economy’s production toward good A—a movement along the production possibility frontier and the contract curve in the Edgeworth-Bowley box. If each industry were to use the same factor proportions as before, the change in output mix would raise the country’s total demand for capital and reduce its total demand for labor. Given fixed total factor supplies and full employment of both factors before and after the rise in relative price of good A, the new output mix would thus be feasible only if both industries were now to employ a lower capital-labor ratio, or equivalently, if there was a rise in the rental-wage ratio facing the firms in both industries. These lower capital-labor ratios imply a lower marginal physical product of labor in both industries and thus an unambiguously lower real wage (and higher real rental) measured in terms of either good. This outcome is independent of the pattern of consumption.
Stolper-Samuelson and the simple general-equilibrium model
Although the Stolper-Samuelson argument based on varying factor demand and fixed factor supply is intuitively appealing, their key result does not actually require fixed factor supplies. An alternative proof hinges on the observation that with constant returns and perfect competition, both industries can maintain positive output only if both yield equal (zero) economic profits. As neatly laid out in Jones (1965), the price of each good produced must in equilibrium be equal to its unit production cost:
where aij (w/r) indicates the cost-minimizing input of factor i in producing one unit of good j. With the assumption that the two industries differ in relative factor intensity, and given the money prices of the two goods, these two equations can be solved to obtain unique equilibrium factor rewards r and w consistent with production of both goods, as well as the real returns expressed in terms of either good.
Jones derived corresponding “equations of change” that show the comparative statics of the model. To restore equilibrium, any change in the price of either good must be matched by an equal change in its unit cost of production. The proportional change in each good’s production cost can be expressed as a weighted average of the proportional changes in the factor rewards, with a larger weight on the change in wages for the labor-intensive good:
where θij indicates factor i’s share in the total cost of producing good j and is the proportional change in x. For the case considered by Stolper and Samuelson, where trade raises the relative price of capital-intensive good A, these conditions imply:
Jones called this relationship the magnification effect--a rise in the relative price of a good is accompanied by a magnified increase in the equilibrium return to the factor used intensively in its production and a decrease in the real return to the other factor.
Jones’s reformulation of the Stolper-Samuelson theorem highlights its broad applicability. In the context of the basic model of two goods, two factors freely mobile between industries, constant returns to scale, and diversified production, Jones’s version shows the “magnified” consequences for equilibrium real factor prices of any change in the relative price of the goods. Regardless of its cause, and even in a closed economy, a fall in the relative price of the labor-intensive good must be accompanied by a decrease in the corresponding equilibrium real wage and a rise in the real return to the other factor. The redistributive effect of adding or removing a tariff, or of moving toward or away from autarky, is a special case.
The proof based on equality of cost and production price also shows that the theorem holds even when each industry uses factors in fixed proportions, i.e., when the production isoquants are L-shaped rather than smoothly curved, as had been assumed by Stolper and Samuelson. With additional assumptions (free trade, no factor-intensity reversal, a second country with the same production technology), Samuelson’s factor-price equalization theorem follows directly from the same formulation of the model. When free trade equalizes product prices between countries, factor rewards in each country must satisfy the same set of equations (unit cost must equal price for each of the two goods). This argument is similar in spirit to Lerner’s (1952) geometric proof of factor-price equalization.
The Stopler-Samuelson Theorem leads to some important implications which are mentioned below:
(i) Increase in Welfare:
Trade brings about an increase in welfare of the factor of production that is used intensively in the expanding industry at the expense of the scarce factor. On the whole, there is a net increase in the welfare of the community.
(ii) Improvement in Income Distribution:
Since trade raises the share of abundant factor in the GNP, the distribution of income becomes more equitable.
(iii) Strategy of Export Promotion:
The theorem leads to an important policy implication that the strategy of export promotion rather than import substitution is more appropriate in the less developed countries for the achievement of twin objectives of growth and equitable income distribution.
(iv) Adverse Effect of Tariff and Other Protective Policies:
The theorem suggests that slapping of tariffs and other restrictive or protective measures will reduce imports. That will limit also the opportunities to expand exports. It will keep the real income of the abundant factor relatively lower than that of scarce factor. As a consequence, the growth process will get slowed down apart from making the income distribution inequitable.
The Stopler-Samuelson Theorem came to be criticized, modified and elaborated by writers like Kelvin Lancaster, Lloyd Metzler and Jagdish Bhagwati. Metzler dropped the assumption of fixed terms of trade and argued that the imposition of tariff, given an inelastic offer curve of foreign country, will cause improvement in the terms of trade of tariff-imposing country through an increase in internal price of country’s export and a fall in the internal price of country’s import.
In such a situation, the production of import-substitutes will decline and the income will get distributed in favour of the factor used relatively intensively in the production of exportable commodity. Kelvin Lancaster did not accept the view that protection would result in an inequitable distribution of income. Jagdish Bhagwati did not accept the universal validity of this theorem.
He discussed the possible alternative effects of protection upon the income of more intensively employed factor. In his words, “…protection (prohibitive or otherwise) will raise, reduce or leave unchanged the real wage of the factor intensity employed in the production of good according as protection raises, lowers or leaves unchanged the relative price of that good
By: Jyoti Das ProfileResourcesReport error
Access to prime resources
New Courses