send mail to support@abhimanu.com mentioning your email id and mobileno registered with us! if details not recieved
Resend Opt after 60 Sec.
By Loging in you agree to Terms of Services and Privacy Policy
Claim your free MCQ
Please specify
Sorry for the inconvenience but we’re performing some maintenance at the moment. Website can be slow during this phase..
Please verify your mobile number
Login not allowed, Please logout from existing browser
Please update your name
Subscribe to Notifications
Stay updated with the latest Current affairs and other important updates regarding video Lectures, Test Schedules, live sessions etc..
Your Free user account at abhipedia has been created.
Remember, success is a journey, not a destination. Stay motivated and keep moving forward!
Refer & Earn
Enquire Now
My Abhipedia Earning
Kindly Login to view your earning
Support
Monetarist School of Thought : Economic Thought
Macroeconomic theory is mainly concerned with the study of the goods, labour and money markets and the interactions between these markets. Given such an ambitious brief it is not surprising that economists differ in their approach to this study. None the less it is possible to identify two broad schools of orthodox thought which are popularly known as the 'monetarist' and the 'Keynesian' schools. The difference between the two schools can be traced to a basic philosophical dispute about the nature of a capitalist economy. Monetarists believe that the economy is predominantly competitive and that prices change smoothly and efficiently to equate demand with supply in each market. They have considerable faith in the ability of the economy to correct any imbalances that may arise without external assistance and believe that sustained periods of high unemployment and inflation are caused by government interference in the economy. Keynesian economists are less optimistic about the economy. They do not think that the free operation of the price mechanism will equate demand with supply quickly, or even automatically, because monopolistic market structures prevail in many sectors of the economy and because there is a significant lack of knowledge about demand and supply conditions in the economy. Periods of depression and inflation should be expected unless the government eliminates them by appropriate economic policies.
The Classical Quantity Theory
The detailed discussion of these theories begins with the Classical origins of modem monetarism. Classical economics is used here as a blanket term to describe the macroeconomics which has its origins in the eighteenth century and which was the prevalent theory until it gave way to Keynesian analysis in the decades after 1940. It is discussed in some detail because it gives a simple but comprehensive introduction to modem monetarism. Since its basic philosophy is most apparent in the assumptions made about the goods and labour markets, the present discussion begins with these markets.
The Classical Labour Market Classical economists believe that the labour market is a competitive market in which the price adjusts to eliminate any discrepancy between the quantity demanded and the quantity supplied. There is a downward-sloping demand function for labour which shows that firms decrease their demand for labour as its price increases and an upward-sloping supply curve which shows that workers increase their supply of labour as the price increases. Hence the study of the labour market becomes a standard application of demand and supply analysis. The price of labour in the long run will be the equilibrium price since any deviations from the equilibrium price will result in market pressures which will eventually equate demand with supply. Similarly, the number of workers employed will be equal to the equilibrium quantity. The application of these results is complicated slightly because Classical economists thought that the price of labour is measured by the real wage, which is the nominal or money wage deflated by the price level. The demand for and supply of labour is determined by the relationship of wages to prices and not by the general level of wages. This theory follows from the Classical belief that firms are profit-rpaximisers operating in competitive markets and that workers were rational utility-maximisers.
Until Just a few years ago, the ~e~oint which lately has come to be known as “monetarist” was not taken very seriously by anyone except a few dedicated disciples. Its central postulate that changes in the level of aggregate money income were due essentially to prior money stock changes — was viewed as a totally inadequate oversimplification, especially since the proponents of this approach failed to provide an adequately detailed explanation of the theoretica’ structure upon which this tenet was based. The empirical evidence presented in support of this “quantity theory” viewpoint was subjected to criticism so severe that the evidence has never been taken veiy seriously. However, recent years have witnessed something of a turnaround, The conventional wisdom as embodied in modern Keynesiai~theory has been cast into doubt, while monetarist thinking has hwreased great’y in popuhritv. to the point where its proponents, and even some of its critics, speak of a “mone~ tarist revolution”. lie reasons for this rather sudden change are no doubt related in part to the apparent inconsistency of the Keynesian analysis (or at least an elementary version of it) with economic events in the United States during the late l 960s, in some degree to monetarist criticism of Keynesian analysis (mostly directed at a very e~ernentaryversion of it), and in part to other causes, including substantial de~ velopment by the monetarists of their own theoretical position, as well as the appearance of new and more convincing empirical findings.
While the increase in popularity of monetarism has been rapid, and the rate of growth of the monetarist literature impressive a critical literature has also appeared, charging that monetarist theory has turned out largely to consist of oH concepts clothed m neW ilarnes, and that the empirical evidence purportedly supporting the monetarist position is bi seci and undependable.° The purpose of the present paper is to attempt to summarize in a general way the main feahires of the present monetarist theoretical stance, and to examine the monetarist view of modem Keynesianism. Since much of the debate bears directly on the stabilization policy process and the relative usefulness of different instrumdilts of policy, particular attention ~viIlbe given to the nature of the transmission mechanism under the two approaches. The empirical evidence will not be discussed in a systematic way in this paper, although reference will be made to it, where appropriate, in the discussion of the theories. In conducting this comparison, I shall attempt to identify issues between the two camps which are real, and those which seem to be false.
The Structure of Monetarist Thought
Although the roots of modem monetarist thought extend far back in time (the wntings of classical economists are often cited, Irving Fisher being particularly popular), it is oniy lately that detailed expositions of this theory have ocgun to appear. In this paper, no svstcmat~cdiscussion of the entire literature The Structure of Monetarist Thought Although the roots of modem monetarist thought extend far back in time (the wntings of classical economists are often cited, Irving Fisher being particularly popular), it is oniy lately that detailed expositions of this theory have ocgun to appear. In this paper, no svstcmat~cdiscussion of the entire literature.
Models, Assertions, and Themes .
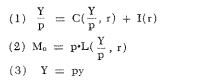
As a useful starting point in establishing a general framework for the discussion to follow, we may refer to recent articles by Brunner and Friedman containing inclusive statements of the rnonetanst position.8 Friedman provides an explicit statement of the static~ equilibrium stnicture winch lie views as being consistent with both the monetarist and Keynesian schools of thought. The theme he stresses — that it is the particular features of or assumptions about particular characteristics of the general analytic structure, rather than the fundamental nature of the structure itself, which differentiate monetarists and Keynesians — also appears in the writings of Brunner and others. In summary form, the model set out by Friedman is as follows:
where Y is money income, p is the general price level. r is the rate of interest, M. is the nominal exogenouslyset money stock,y is real income or output, and C, I, and L stand for the consumption, investment, and demand-for~moneyfunctions, respecively.
Equation (1) is of course the familiar IS curve, from which can be obtained all combinations of real income and the interest rate which will make the flow of planned spending equal to available output, and hence will result in equilibrium ill the market for goods and services. EquatIon (2) is the LM curve, which yields all combinations of real income, the in~ terest rate, and the price level which will equate the demand for real balances with the real value of the nominal money stock. Equation (3) is a definition relating nominal income and real income or output through the price level, There are of course other markets which could be considered, but which are not explicitly accounted for h~equations (1) or (2); in particular, the bond and labor markets are not made explicit. Friedman argues that the assumptions made by the two camps in order to accommodate these markets and simultaneously close the system of equations constitute a fundamental point of difference betwedll monetarists and Keynesians, As written in equations (1)-(3), the model posited by Friedman contains four endogenous variables — Y, p, r, and y — and therefore is underdetermined, Monetarism is said by Friedman to include with the above equations a vast number of additional relationships; specifically, a whole Wairasian system of denianci equations, supply equations, equilibrium conditions, etc., which in and of themselves determine y, the level of real output. The inclusion of a Wairasian system of course implies that the equilibrium position of the model is one of full employment. (There is no such implication for the short-run dynamics of the system, however.) With real output predetermined from the standpoint of equations (1)-(3), equation (1) can be solved for the equilibrium value of the interest rate, and (2) yields the equilibrium price level. Ekmcntaiy manipulation of this system gives the result that only the price level (and the money wage rate, which is not made explicit in equations (1)-(3)) will change in response to a money stock change; the equilibrium value of the interest rate is not shifted, and therefore is said to be determined only by “real” variables,”’ In other words, this version of the model displays the well known “classical dichotomy”.
According to Friedman, the Keysian approach utilizes a much different and less satisfactory procedure by assuming that the price level, rather than real income, is determined outside of the postulated structwo (Friedman refers to’ a deus ex machina with no underpinning in economic theory.”).” By taking the price level to be exogenous with respect to this structure, the number of variables again is reduced to three (Y, y, and r in this case). However, the system no longer is dichotomized, and all of the variables now are detennined jointly rather than recursively. In particular, the static equilibthim levels of both real income and the ñiterest rate can now be changed by both money stock and expenditure changes.
It would be a mistake to conclude from the forego~ ing discussion that monetarists VieW themselves as differing from Keynesians only in terms of the assumptions utilized to provide a unique equiibrimn solution to the static IS-LM model. There are several other typically monetarist assumptions about the static and dynamic dimensions of this system. Recently, Karl Brunner has introduced four proposidons which he asserts are “defiling characteristics of the monetarist position.”
These are:
(1) the transmission mechanism for monetary impulses involves a very general kind of portfolio adjustment process ultimately affecting the relationship between the market price of physical assets arid their production cost, rather than oniy the relationship between borrowing costs and the internal rates of return on potential acquisitions of new physical capital, as is asserted to be the mechanism characteristic of modem Keynesian analysis;
(2) most of the destabilizing shocks experienced by the system arise from decisions of the government with respect to tax, expenditure, and monetary policy, rather than from the irntability of private investment or of some other aspect of private-sector behavior, as the Keynesian view is said to assrnne. A related belief is that the demand-for-money function is very stable, while the policy-determined supply of money balances is unstable;
(3) monetary impulses are the dominant factor in explaining changes in the pace of economic activity, in contrast to the Keynesian position which assertedly takes real impulses as primary;
(4) in analyzing the determinants of change in the level of aggregate activity, detailed knowledge of “allocative detail” about the working of financial markets and institutions is of secondary importance and can be disregarded. This implies that the relationship between policy instruments and economic activity can be captured in a veiy small-scale model — perhaps even one equation — while the Keynesian position is that Imowiedge of allocative detail (e.g., substitution relationships between various financial assets) is necessary for the proper understailding of policy processes, implying a need for complex structural models.
The statements by Bi-unner and Friedman are attempts to sketch the fundamental structure of rnone~ tarism. As such, they do not emphasize or even identify explicitly some of the specific characteristic themes which permeate monetarist writing, ii~cIuding their own. Several such themes can be identified.
(1) Great importance is attached to the demandfor-money function, and it is in fact the central behavioral relationship in the monetarist model.” Particular stress is laid on its stability, by which is meant not only that the variance of its error term is small, but much more importantly, that it contains very few arguments. Friedman has written that: The quantity theorist accepts the empirical hypothesis that the demand for money is highly stable — more stable than functions such as the consumption function that are offered as alternative key relations. The stability he expects is in the functional relation between the quantity Gf money demanded and the variables that determine it. . . [andj he must sharply limit, and be prepared to specify explicitly, the variables that it is empirically important to include in the function. For to expand the number of variables regarded as significant is to empty the hypothesis of its empirical content; there is indeed little if any difference between asserting that the demand for money is highly unstable and asserting that it is a perfectly stable function of an indefinitely large number of variables.
(2) A particular aspect of the demand for money emphasized by monetarists is that, in their ana’ysis, the stable demand for money is concerned with real, not nominal, balances, while the authorities control the nominal supply, which tends to be quite variable relative to dcnmnd.Th This state of affairs is usually contrasted with the Keynesian case, in which the demand for money is said to be a demand for nominal balances, either because it is (incorrectly) specified that way, 1 or because, as in Friedman’s discussion summarized above, the price level is fixed so that real and nominal balances are the same. Monetarists use this distinction as part of a rationalization for their contention that their analysis implies a much broader concept of the transmission mechanism for monetary impulses than does the Keynesian model, being based on a very general portfolio adjustment process working through changes in a broad spectrum of asset yields and price level changes, in contrast to the narrow cost of credit channel which is implied by the Keynesian demand-for-money function. This point is developed further in the section entitled “The Transmission Mechanism for Monetary Impulses” below.
(3) Further, monetarists believe the interest elasticity of demand for money balances to be quite low, Until recently, it was generally thought that they viewed this elasticity to be zero so that the demand for money was linked directly to income as implied by the naive quantity theory. However, such a view has been rejected outright by Friedman and others; if it ever was held, the accumulation of empirical evidence to the contrary has made it untenable now.
Presently, monetarists take the reputedly different views held by themselves and Keynesians on the size of this elasticity as a basis for contrasting inferences about the expected behavior of velocity in response to a monetary shift. A substantial interest elasticity of demand for money, said to be the Keynesian position, is viewed as implying unstable velocity; Keynesians are viewed by monetarists as not being able to “depend” on the stability of velocity, for as the money stock rises and falls, offsetting velocity changes insulate the rest of the system to a great extent. On the other hand, while not believing velocity to be perfeetly constant, monetarists take the position that”. alihough marginal and average velocity difler, the veloeily function is sufficiently stable to provide a relation between ch~mges in money and changes in money income.” In other words, some, but not much, short-run variation in velocity may be expected. To some monetarists, the essential difference betweell the two positions is summed up in the demand for money-velocity nexus. Fatnl writes:
The post-Keynesian quantity and income theories thus differ sharply in their a~aIysis of the money demand function, in the modern quantity theory it serves as a velocity function relating either money and money income or marginal changes in money and money income . . .the income theory, it serves as a Iiqtiiditv preference theory of interest rates, or of changes in interest rates (if the price level is given and detennined independently of the monetary sector)
Although it has become fairly common practice to discuss the behavior of velocity in terms of the properties of the demand-for-money function, it is improper to do SO because observed velocity depends on all of the behavIor — real and monetary — in the macroeconornic system. This point will be discussed in greater detail below.
(4) The final monetarist theme which I shall mention is concerned with the nature of the response of interest rates to a monetary shift. Monetarists disthiguish three components in the observed movement of interest rates: a “liquidity” effect, which is the immediate response before income or other variables have changed, and thus is expected to be in the opposite direction of the monetary shift; an “income” effect, which is the induced reaction of interest rates to the change in income brought about by the monetary impulse, and hence is expected to be in the same direction as the money stock change; and a “price expectations” effect, which comes about because monetary changes cause lenders and borrowers to anticipate a changing price level and lead lenders to protect themselves against the expected depreciation in the value of their funds by charging higher rates. This last effect would cause market interest rates to change in the same direction as the monetary change.
In looking back over this summary of monetarist thought, it becomes quite apparent that there is a good deal of truth to Friedman’s contention that the differences between Keynesians and monetarists are essentially empirical rather than theoretical, having to do with the assumptions made about specific aspects of the commonly-accepted structure, the relative stability and importance in the analysis of different functional relationships, the sizes of various elasticities, etc. There appears to be little disagreement between the two camps over the specification of Friedman’s basic model. And of Brunner’s four points, at least two are essentially empirical (points numbered (2) and (3) above), while one of the remaining two (point (1) above) makes a distinction between monetarist and Keynesian views of the trans. mission mechanism which I believe is false with re~ spect to current post-Keynesian income-expenditure analysis. Only his last pohit — that it is appropriate to study the relationship between policy instruments and economic activity without depending on knowledge of “allocative detail” — appears to be one about which there are genuine differences at the theoretical (or perhaps more properly, the methodological) level. Finally, among the four monetarist themes mentioned above, the third one is clearly empirical in nature, and monetarists and Keynesians both in fact hold that this elasticity is nonzero but small in absolute value. In the next section, it is demonstrated that modern Keynesians take the price level to be endogenous, which suggests that the monetat-ist-Keynesian distinctions summarized above as the second theme are not valid. I shall try to show below that monetarist emphasis on the importance of the demand-for-money relationship (the first theme) is unwarranted, at least in so far as this relationship is viewed as the basis for predicting velocity. I shall also show that the two components of interest rate change in response to a monetary impulse identified in theme four as monetarist are either clearly present in or at least consistent with Keynesian analysis and assumption.
Monetarism, Keynesianism, and the price level
As already noted above, monetarists see one of the essential differences between the two sides to be the question of the determinants of the price level in comparative static equilibrium analysis. Keynesians are said to take prices to be fixed so that monetary shifts are reflected in output changes, while quantity theorists believe that monetary changes affect only the price level in this sort of analysis, with real output being determined by a separate subseetor of the system.
There is no doubt whatsoever that many pracUtioners of the Keynesian viewpoii~thave assumed that prices could conveniently he taken as given for some problems — especially those associated with substantial unemployment and that it has often been convenient for simplicity of exposition in undergraduate classroom exercises or for other purposes to make the assumption of rigid prices. It is quite dubious, however, that this assumption, or the liquidity trap assumption which also has been an important element in the monetarist view of Keynesianism, reflects the thinking of most Keynesian economists today. Rather, the standard static “complete Keynesian system” is widely recognized to be one in which the general price level is one of the variables determined by the interacdon of the system, and hence is free to move, but to be one in which there axe irnperfec~ons in the labor market — most typically, a money wage rate which is inflexible downwards, In other words, rather than assuming that pnces are fixed as a means of making the simple static model determinate, modem Keynesians introduce an aggregated labor market and production function into the analysis. This could be viewed as the Keynesian equivalent of the “Walrasian system of equations” asserted by Friedman to be the hallmark of the adherents to the modern quantity theory approach. It is of course much less satisfactory in that all labor market activity and all kinds of production are aggregated into perhaps as few as two equations (i.e., a reduced-form labor market equation and an aggregate production function) rather than having each market and each activity represented by specific equations. It is more satisfactory on two counts: first, the equations at least are explicitly specified, and second, these equations do not yield the full employment outcome, as is typically the ease when depending on a Wairasian system.
The essential difference in this regard between Keynesians and monetarists therefore would appear to be that the former view all prices (including wages ) as flexible, while the latter consider all prices except the money wage rate to he flexible (money wages are viewed as inflexible, at least in a downward direction, due to such structural phenomena as minimum wage laws, union contracts, and the like). This distinction has significant implications for the analysis.
In the first place, the Keynesian treatment flOW cannot be said to he fundamentally less satisfactory than the monetarist one in tenns of methodology, except perhaps on grounds having to do with problems of aggregation Friedman. it will be recalled, used the pejorative term “deus cx machina” to describe what he understood to lie the Keynesian approach). Rather, the (hiference now lies in the analytic usefulness of the assumptions themselves. Is it more appropriate to assume that wages and prices are flexible, or that money wages are sticky while prices can adjust? The answer to this question depends on the nature of the problem being studied in any particular case, and this suggests that an important difference between the two schools of thought may be that Keynesians are more concerned with short-run analysis (for instance, that related to countercyclical stabilization) while monetarist assumputions are more consistent with long—run analysis.
Second. dropping the rigid-price assumption tends to reduce the basis for the heavy emphasis placed by monetansts on the demand—for-money function and its properties. One place where such emphasis is evident is in the discussion of velocity, V/e turn next to an inquiry into the factors affecting velocity, with particular emphasis on the relationship of velocity to the demand-for-money function.
The Demand for Money Function and Velocity
Monetarists, as we have already noted, tend to think of the demand-for-money function as a “stable velocity function” while holding that Keynesians view velocity as unstable, justifying this position by appeal to contrasting assumptions about the price level and the interest elasticity of demand for money (see e.g. the quotes from F’and and others above). The fact of the matter is that the behavior of velocity under the two approaches in response to a monetary shift depends basically on the assumptions made about the labor market, not about the demand for money or about prices, since, as we have seen, both approaches take prices as flexible and, if that is the ease, the same general demand-for-money function would be characteristic of both. This point can be demonstrated quite easily. First we note that the definition of velocity implies the following relationship:
where E stands for dasticities calculated on the basis of the interaction of the entire structure, so that (for instance) represents the elasticity of real output with respect to changes in the nominal money stock when the response of the entire economic system to the money stock change is taken iuto account. To distinguish such ‘systemic” elasticities from “partial” elasticities — those calculated along one function only — the symbol will be used to represent pardal elasticities. Thus, for instance, L .r will stand for the interest elasticity of the demand for real balances, holding income and other variables constant. Under the monetarist assumption of flexible wages and prices, real output is determined uniquely by Friedman’s “Wairasian system” and, as he points out, is to be considered as predetermined from the standpoint of equations (1) - (3). This means that a monetary shift cannot change real output (i.e., the multipier so that which is defined to be has a value of unity.
withrespect to Inserting these results into (4) gives the quantity theory result that the “stable velocity” result referred to previously. It is important to note that no particular assumptions unique to the monetarist position were made about the demand for money per Se; the assumption which yielded this result was that the demand for labor and the supply of labor both were functions of the real wage rate, and that the market was a’ways cleared.
On the other baud, let us consider the Keynesian case, which we flow define as one in which money wages are sticky (i.e., there exists money illusion in the supply of labor), but in which the price level is an endogunous variable. To analyze this ease, we must add three equations to the basic model: an aggregate production function (equation (5) below); a labor market summary equation which states that the supply of ‘abor services per unit time (N) is infinitely elastic over a wide range of employment at whatever money wage rate prevails, and that the demand for labor (ND) is determined by the real wage (w) (equation (6)); and a definition which states that the real wage is the ratio of the money wage rate (W) and the price level (equation (7)) The bar over the money wage rate indicates that it is being held constand here.
This gives:
By differentiating the system defined by equations (1) - (3) and (5) - (7) totally with respect to M0 , expressions for the systemic elasticities E~.)l and ~ can be found. They are as follows (see the appendix for their derivation):
Here S stands for the savings function; otherwise all of the notation has already been defined. The usual slope assumptions are made, and on the basis of these assumptions, both of these systemic elasticities will be positive.30 Whether velocity ~viI1rise, fall, or remain constant in the face of a monetary shift depends on the sizes of all of the partial elasticities and their relationships to one another as given by these expressions. The demand-for-money elasticities play a role, but are by no means the only rdevant elasticities, in general, we woWd not expect the elasticity of velocity with respect to nominal money balances to be minus unity in value, as the “liquidity trap” assumption implies. It will approach that value if are very large, or if the term ) is very close to zero.
To summarize, the main point of this exercise was to show that, using a common model with no special assumptions about the properties of the demand for money, it has been possible to derive “monetarist” and “Keynesian” results for the response of velocity to a monetary shift. It is improper to speak of the demand for money as a ‘velocity filnetion”, especiulit, in the monetarist case where it is assumed that money wages are flexible so that the system equilibriates at full employment. In that case, the velocity elasticity will he zero no matter what the sizes of the demand-formoney elasticities.
Eliminating the rigid-price assumption as a basic point of difference between the two schools reduces the basis for monetarist emphasis on the demand for money for other reasons besides its implicadons for velocity. It also is important for monetarist views on differences in the nature of the transmission mechanism for monetary policy. It is to this subject that we time next.
The Transmission Mechanism for Monetary Impluses
One of the most characteristic themes of monetarism is the heavy emphasis which is placed on differences between the qinintities of money demanded and supplied as the prime factor motivating spendii~g and, hence, changes in income and prices. Friedman and others have explained again arid again how the authorities can change the nominal money stock, but how it is money holders who determine the velocity with which that stock is used, and ultimately who determine the stock of real balances through the effects of spending decisions on the price level. As Friedman puts it, “The key insight of the quantitytheory approach is that such a discrepancy [between the demand for and supply of money] will be mani~ fested primarily in attempted spending, thence in the rate of change in nominal income.”32 In other words, when households and firms are holding more cash balances than are desired at current levels of income and interest rates, they convert these excess balances into other assets, both financial and physical; the market value of physical assets ultimately changes, making the production of new assets more attradive. Thc change in the general price level which occurs as a result of this process, and the change in output, both work toward a re-equathg of the real value of the nominal money stock and the demand for real balances. Thus the monetarists clearly embrace a very general kind of portfolio adjustment view of the transmission mechanism in which the relevant portfolio contains financial and physical assets of all kinds.33 It will be recalled that this is the first of Brunner’s four “defining characteristics.” At the same time, monetarists have been taking Keynesian analysis to task for focusing almost exclusively on interest rates representing the “cost of fimmee” as the channel through which monetary impulses are felt. The following quotation makes these distinctions very clear:
The Income-Expenditure theory of the Fiscalists adopts a particular transmission mechanism to analyze the effects of a change in the money stock (or its growth rate) on the real economy. It assumes that money changes will affect output or prices only through its effect on a set of conventional yields — on the market interest rate of a small group of financial assets, such as government or corporate bonds. A given change in the money stock will have a calculable effect on these interest rates . . . given by the liquidity preference analysis, and the interest rate changes are then used to derive the change in investment spending, the induced effects on hwome and consumption, etc.
Monetarists, following the Quantity theory, do not accept this transmission mechanism and this liquidity preference theory of interest rates for several reasons: First, they suggest that an increase in money may directly affect expenditures, prices, and a wide variety of implicit yields on physical assets, and need not be restricted to a small set 0 f convenlional yields on finajwial assets. Second, they view the demand for money as determining the desired quantity of real balances, and not the level of interest rates. Third, and most fundamentally, they reject the notion that the authorities can change the stock of real balances — an endogenous variable — and thereby bring about a permanent change in interest rates.
Monetarists reject the liquidity preference interest rate theory because it applies only as long as we can equate an increase in nominal money with a permanent increase in real balances. This suggests that the liquidity preference theory may be useful as a theory of the short run interest rate changes — the liquidity effect — associated with the impact effects of nominal money changes.
Statements like this, and the quotation from Friedman in foothote indicate that monetarists believe their view of the transmission mechanism to differ from the position they impute to the Keynesian camp most essentially in differences in assumptions about characteristics of the demand-for-money function. The interpretation of the interest rate term in this function plays a role; so does the question of price flexibility.
As the preceding discussion and quotation indicate, monetarists think of their own view as an extremely general one. The interest rate term in their model really stands for a vector of yields on many assets, some of them financial yields determined in the money ~mdcapital markets, and some of them implicit yields on real assets. A monetary impulse sooner or later affects all of these yields, and hence adjusts the demand for real balances directly as well as indirectly through the effects of yield changes on income. At the same time, changes in the price level which result will adjust the real value of the nominal money supply. Therefore the adjustment process is seen as being summarized in the characteristics of the demand-forreal balances function and its relationship to the nominal money supply. Keynesians are said to include wily a few market-determined yields on financial assets in their liquidity-preference function; furthermore, the price level is exogenously determined. Therefore the process of adjustment to a monetary impulse is supposedly seen by them in much narrower terms — the entire process takes place through adjustment of the demand for money, and basically is said to focus on the cost of credit as reflected in market interest rates. Furthermore, the belief in a substantial interest elasticity of demand for money, often attributed to Keynesians, means that a monetary impulse wifi have a relatively small effect even on these rates.
These distinctions must be regarded as artificial. First, there is nothing inherent in the Keynesian system which is inconsistent with the introduction of a general portfolio adjustment transmission mechanism; and, indeed, there has been a substantial development in this direction in Keynesian thinking and practice during the last several years. On the theoretical side, the work of Tobin and others may be cited, while at the operational level, the developers of the Federa] Reserve Board-MIT econometric model of the U. S. economy have attempted to incorporate such a mechanism into their model.35 While all of the problems involved in this attempt have not yet been solved, work is continuing and improvements will be made. Second, as we have aJready shown, Keynesians take the price level to be endogenous, and thus recognize the same process of adjustment of the nominal money supply through price level changes as the monetarists, There remain certain problems with monetarist thought on two subjects related to the transmission mechanism, One is a rnisui~derstanding,in my opinion, of the relationship between money and interest rates implied by Keynesian theory. The other has to do with the monetarist position on the money stock as a force driving income through the portfolio process mentioned above.
Liquidity preference theory, money, and the rate of interest — Molletarists view themselves as holding a “monetary theory of the price level” under which monetary shifts are reflected (in the longer run, at least) primarily in price level changes, They take the stance that Keynesians hold a “monetary theoiy of the interest rate.” Under this phrase, at least two posilions are subsumed, Some monetarists seem to think that Keynesians see the money supply together with the demand-for-money function (specified in nominal terms) as determining the level of interest rates. Others recognize that the interest rate in Keynesian analysis is determined jointly as one of the outcomes of an h~teractingsystem of relationships rather than just by one behavioral relationship (i.e., by some version of an IS-LM system like Friedman’s summary model). Whichever view is held, however, it is asserted that Keynesian analysis leads to the conclusion that monetary shifts result in interest rate changes in the opposite direction, whiie monetarist analysis suggests that movements of M and r in the same direction will be observed.
Neither version of the “monetary theory of the interest rate” is an accurate representation of Keynesian thought, for both imply that an expansionary monetary impulse (for example) can only result in a lower interest rate in the new equilibrium. In other words, it appears that of the two monetary effects on interest rates often mentioned by monetarists which are relevant for static analysis — the liquidity effect and the income effect — Keynesians are supposed to recognize wily the liquidity effect, or more generally, are supposed to be basing their analysis on assumptions which can wily result in an inverse relationship between monetary impulses and interest rate changes.
This is certainly not the case, When the entire structure is taken in to account, rather than oniy the liquidity preference function, the level of interest rates in the new equilibrium relative to the initial position is determined by a number of elasticities, most importantly those which are the determinants of the slope of the IS curve. If its slope is positive — which is the case if all of the propensities to spend with respect to total income sum to more than unity — then both income and interest rates will be higher in the new equilibrium than in the old. This is such a wellknown case as to require no further comment.
Of course equilibrium positions are not observed in the real world; instead, the economy is always in transition, moving toward resting points, which themselves are repeatedly being disturbed. It may be inferred from some monetarist writings that it is the observed tendency of interest rates and money to move in the same direction which is thought to be inconsistent with Keynesianism, rather than the possibility that money and interest rates can move together in terms of comparative equilibrium points. In other words, the discussion may refer to the dynamics of the system, rather than the comparative statics. In this area, the monetarists have done us all a service by stressing the possible importance of price expectation effects on interest rates, a phenomenon which typically has not been incorporated into dynamic Keynesian models. I will argue that observed parallel movements between money and interest rates are quite consistent with the basic IS-LM structure (no matter which way the IS curve slopes), given the reasonable and widely-accepted premise that the monetary sector adjusts much more rapidly than the real sector to external shocks. Under this premise, observed values of income and the rate of interest may be supposed, at least approximately, to be such that the LM equation is always satisfied during the process of adjustment from one eqitifibrium to another, while the IS equilibrium is not. I will argue further that price-expectation effects are readily accommodated by this analysis.
The implications of these differing speeds of adjustment are illustrated on the accompanying figure, which happens to be drawn with a downward-sloping IS curve. Assume the system to be initially in equilibrium at point F, so that the equilibrium values of the interest rate and income levels are r and y. Now let there occur an expai~sionof the money supply, so that the LM curve shifts outward to a new position, LM’. According to the assumption made above concerning the relative speeds of adjustment of the monetary and real sectors, this shift will result first in a fall in the hiterest rate from its initial equilibrium level to a new level, r’. It should be noted that this is the “liquidity effect” which is recognized by monetarists as being present both in their own and in Keyllesian thinking. It represents a movement along the liquidity preference function in response to a change in the money supply, holding income constant. Next, income will begin to respond, and income and the rate of interest both will rise along the segment GH of LM’ to point H, the final equilibrium position. This movement, of course, reflects the “income effect.” If rising income is accompanied by rising prices, there will also be an induced shift of the LM curve during the transition. For example, it might move to a position like LM” as shown. Alternatively, it could move to a position to the right of LM’ .
Such LM shifts reflect the operation of two forces. First, rising prices reduce the real value of the new nominal money stock and “tighten the money market’ after the initial expansionary pulse. This has the effect of moving the LM curve Ieftward. Second, rising prices may engender expectations of future price increases. If, as has been suggested, the demand for money depends on nominal interest rates while real expenditures are determined by real rates, then the “price expectations effect mentioned previously would cause a rightward LM shift, resulting in a lesser leftward overall shift in the LM curve than that brought about due only to the drop in the real value of the nominal money stock, or perhaps even a net rightward movement (in this discussion, the vertical axis is interpreted as measuring the tea] rate of interest). If these effects are present, the adjustment path followed from point c; might be the clotted one instead of the so1idIy~drawnone, and the system would end up at a point like J instead of H, so that the new equilibrium income level would be y”, arid the equilibrium real interest rate r”. Incidentally, if price-expectation effects are present, a value of r” for the real rate is quite consistent with a market rate above r.
We may conclude from this discussion that there is no reason to be sui~risedby the fact that during much of the time following an increase in the money supply, interest rates are observed to rise. A standard assumption about relative speeds of adjustment, much used by Keynesians, directly reflects both the “liquidity effect” and the “monetary effect” often discussed by monetarists, and is perfectly consistent with the presence of price expectation effects. Second, it is appropriate to point out that this entire discussion has been carried out ill the context of a pure multiplier model. If accelerator effects are present, they may accentuate the pure multiplier effects of a monetary shift on interest rates, at least during parts of the adjustment period. Finally, there is the likelihood that in many cases in which interest rates and the money stock move together, the monetary authorities are reacthg to shifts in spending. For instance, if total spending rises. interest rates will go lip and the monetary authorities will often ti-v to moderate the interest rate increase by expansionary open market operations, resulting in a rise in the money stock.
The monetarist view of money as a force driving income — It is self-evident that monetarists typically have assigned great importance to changes in the money stock as the prime moving force behind income changes. For instance, one of Brunner’s “defining characteristics of inonetarism” is that the monetarist analysis assigns the monetary forces a dominant position arnollg all the irnp~1sesworking on the economic prcc~ssH°And, of course, Friedman’s investigations into the lead-lag relationship between changes in the rate of change of the money stock and changes in income are too well-known to require further comment.4 ° At the same time, monetarist writ~ ings often seem to suggest that Keynesians view monetary policy as ineffective.
Keynesians view monetary policy as effective and useful, and to suggest the opposite is to raise false issues. But this clues not mean that they necessarily consider changes in the money stock to have particular causal significance. Monetary policy is carried out through the traditional instruments — open market operations, discount rate changes, and varia6ons in reserve requirements — and not by direct manipulation of the money stock. It is true that in simplified versions of the Keynesian model, monetary policy is represented by the money stock, which is assumed to be controlled by the authorities and which replaces the instruments named above. It is also possible that the authorities could control the nominal money stock to almost any desired degree of precision. But in the real world, or in the more sophisticated models of it, the nominal money stock is not exogenous, nor has it been controlled as an objective of policy by the central bank in the United States; it, or its components, are determined jointly by the central bank, the commercial banks, and the public, and it is basically a passive outcome of the interaction of the economic system, not a driving force.
The doubt that Keynesians feel concerning monetarist assertions about the potency of money stock changes reflects the fact that monet&u-ist descriptions of the adjustment process themselves seem to give no particular reason for regarding money stock changes as causal. These descriptions typically run as follows, using an open market purchase of Treasury bifis as a~example ~ at the ou~sct,there is an exchange of assets between the central bank and a Government securities dealer, with the central bank giving the dealer its check drawn on itself in exchange for bills This exchange results in the following: (1) a reduction in the yield on bills, with consequent disequilibrium among holders of securities; (2) an increase of bank reserves of an equivalent amount (disregarding drains into currency holdings, etc.); (3) an initial increase in the money supply of the same amount as the transaction; and (4) a decrease in bill holdings by the private sector, with a concomitant increase in the central bank’s portfolio. In a process described in some detail by Friedman and Schwartz, the next step will involve action to readjust portfolios in response to yield and wealth changes; meanwhile, banks wifi be interested in expanding loans on the basis of their newly-acquired reserves (and incidentally in creating new deposits). Eventually the adjiistrneut affects the yield on equities and therefore the market value of the existing stock of physical capital. The existing capital stock will rise in value, stimulating the production of new capital and thus causing income to rise. There may also be other effects, such as direct effects on spending of changes in wealth.
The question would seem to be whether it is the initial increase iii the money stock, the full increase (including the new deposits gei~erated as a consequence of loan decisions), the increase in bank reserves, the redaction in private bill holdings, the fall in yields, the increase in the central bank’s portfolio, or some other factor which is responsible for the income change. Rather than arbitrarily selecting some one factor from this list, it would seem preferable to take the more general view that the initiath~g force was the disturbance of a portfolio equilibrium, effected in this case through open market operations. (Such a disturbance, with similar effects, could arise for other reasons: e.g., if there were a ch~mgein wealthholders’ preferences for holding a particular security category at existing yields.) The change in the money stock is properly viewed as one of the several resthts (along with changes in income, interest rates, prices, etc.) of this disturbance. Such a position of course implies that monetary policy is effective, but does not assign the starring role in the drama to changes in the money stock.
Stabilization Policy Modern Keynesian static analysis, based on the complete Keynesian system with flexible prices and inflexible money wages, yields the result that both monetary and fiscal policy are able to effect changes in income, interest rates, prices, employment, and other variables. Monetarist analysis, however, takes the position that only monetaiy policy has significaut effects on the pace of economic activity, at least in the short run. This suggests that the two schools of thought (lisagree not in their views about monetary policy, hut rather on the effectiveness of fiscal policy.
Until recently, monetarists were interpreted as basing their belief that fiscal policy is ineffective directly on the presumed existence of a stable demand-formoney function with zero interest elastkity, together with the assumption of an exogenously-set money stock. Such a demand-for-money function links money and income directly together, so that hwonie cannot change unless the money stock changes. Shifts in government spending financed by bond issue, for in~ stance. were said to result in interest rate changes of sufficient magnitude to reduce private spending to the degree required to keep total demand at a constant ievd.
However, given the many research studies which show otherwise, it has become impossible to maintain that the interest elasticity of the demand for money is zero. This development has had a considerable effect on the tone of monetarist discussions, Thus Fand, in discussing stabilization pohey, refers to the exceptional ease of a completely (interest) inelastic demand for money.4 Furthermore, a relevant recent finding is that the supply of money is interestelastic, and that this is sufficicift to loosen the tight link between the money stock and income even if the interest elasticity of demand is zero.
Therefore monetarists have had to ratiotialize their dismissal of fiscal policy in other ways. Some have tried to find other means of solidifying the moneyincome link aiid of segregating the monetary sector from the remainder of the system by neutralizing the connection provided by the interest rate. One way of doing so is by considering the interest rate to be de~ termined exogenously. This, in effect, is the procedure followed by Friedman ii~his paper entitled, “A Monetary Theory of National Income.”43 If interest rates do not respond to changes in real and financial variables, the rigid money-income connection is preserved. This may be considered the most extreme approach, because under it fiscal policy does not even affect the rate of interest and the division of output among the various sectors.
Another way is to make the standard quantity~ theory assumption of flexible wages and prices, and hence full employment, while accepting the fact that the demand for and supnlv of money balances are interest~elastic. In such a worici, fiscal Policy cannot affect the levels of real variables like output or employment, which are entirely determined by the labor market and the production technology of the system hut then, i~eithercan monetary policy.
Assumptions are not a matter of logic, assuming that they are inthmally consistent. In weighing these vanous approaches to the analysis of stabilization policy, the most important questions probably should be: Which of the alternative approaches is the most realistic and the most relevant for the real-world question of fiscal policy’s effectiveness? Is it the case of flexible wages and prices, so that full employment is the rule and not the exception, and neither monetary policy nor fiscal policy cazi affect the level of real activity? Is it the case involving exogenouslydetermined interest rates, so that fiscal policy cannot even affect the division of output, let alone the level of activi~? Or is it the case of flexible prices but a sticky wage 1eve~,in which case monetary and fiscal policy 1)0th arc’ capable of affecting the level of real activity?
Brunner has taken a somewhat different approach to the analysis of fiscal policy than have most other monetarists. i-ic asserts that fiscal policy is ineffective or perverse because the effects on asset values due to interest-rate changes of the cumulation or decumulation of clalins against the Covemmeiit held by the public, resulting from a fiscal policy deficit or surpius, outweigh the direct effects on the flow of output and income of new spending and taxir~g and of the changes in the stock of financial claims held by the privatc~sector which resuIt.4~ This position implies the vww that the disturbance of portfolio equilibrium from anti source (not only money stock changes) has powerful repercussions, and thus paradoxically tends to downgrade the importance of changes in the money stock. As far as is known, this position is not supported directly by ernpirical evidence.
By: Jyoti Das ProfileResourcesReport error
Access to prime resources
New Courses