send mail to support@abhimanu.com mentioning your email id and mobileno registered with us! if details not recieved
Resend Opt after 60 Sec.
By Loging in you agree to Terms of Services and Privacy Policy
Claim your free MCQ
Please specify
Sorry for the inconvenience but we’re performing some maintenance at the moment. Website can be slow during this phase..
Please verify your mobile number
Login not allowed, Please logout from existing browser
Please update your name
Subscribe to Notifications
Stay updated with the latest Current affairs and other important updates regarding video Lectures, Test Schedules, live sessions etc..
Your Free user account at abhipedia has been created.
Remember, success is a journey, not a destination. Stay motivated and keep moving forward!
Refer & Earn
Enquire Now
My Abhipedia Earning
Kindly Login to view your earning
Support
The Structure of the Neoclassical Theory
In fact, the whole world may be looked upon as a vast general market made up of diverse special markets where social wealth is bought and sold. Our task then is to discover the laws to which these purchases and sales tend to conform automatically. To this end, we shall suppose that the market is perfectly competitive, just as in pure mechanics we suppose to start with, that machines are perfectly frictionless. (Walras, Elements of Pure Economics, 1874, p. 84). Repeated reflection and inquiry has led me to the somewhat novel opinion, that value depends entirely upon utility. Prevailing opinions make labour rather than utility the origin of value; and there are those who distinctly assert that labour is the cause of value. (W.S. Jevons, The Theory of Political Economy, 1871, p. 1). The fact is, that labour once spent has no influence on the future value of any article: it is gone and lost forever. In commerce, bygones are forever bygones. (W.S. Jevons, The Theory of Political Economy, p. 164)
In fact, the whole world may be looked upon as a vast general market made up of diverse special markets where social wealth is bought and sold. Our task then is to discover the laws to which these purchases and sales tend to conform automatically. To this end, we shall suppose that the market is perfectly competitive, just as in pure mechanics we suppose to start with, that machines are perfectly frictionless. (Walras, Elements of Pure Economics, 1874, p. 84).
Repeated reflection and inquiry has led me to the somewhat novel opinion, that value depends entirely upon utility. Prevailing opinions make labour rather than utility the origin of value; and there are those who distinctly assert that labour is the cause of value. (W.S. Jevons, The Theory of Political Economy, 1871, p. 1).
The fact is, that labour once spent has no influence on the future value of any article: it is gone and lost forever. In commerce, bygones are forever bygones. (W.S. Jevons, The Theory of Political Economy, p. 164)
Introduction
In the structure of the classical theory, we know that utility and subjective evaluations of the usefulness of commodities play no role in the determination of relative equilibrium prices and the economy’s general rate of profit. Hence, we need to distinguish between the use-value of classical economists and the utility of neoclassical economists. Use-value, for classical economists, meant the property of a good to satisfy human needs (real or imaginary), whereas utility – a concept that was developed gradually in the mid to the end of the nineteenth century – means the satisfaction that an individual derives from the consumption of a good or the use of a service.
Since utility refers to the consumer and the intensity of satisfaction that he or she derives from a good or a service, it follows that utility has an apparently subjective character. By contrast, use-value refers to the properties of a commodity to satisfy social needs; it has an altogether different character.
the emergence of the neoclassical theory and its associated marginal revolution in economics. Subsequently, we deal with the development of the structure of the neoclassical theory restricting ourselves to its absolutely essential building blocks. We continue with the determination of prices and outputs in the pure exchange model and, within this model, we introduce a simple version of Walras law. The model for production follows but it includes only non-produced means of production (i.e., labour and land). The generalisation of production with produced means of production (i.e., capital) presents insoluble problems.
The Silent Marginal Revolution
In our discussion of the structure of the classical theory, we found that the core of this theory is based on a set of data, which can be objectively measured and on the basis of these data we can determine the normal prices of the economy. One wonders whether there was something wrong with this theory and if not then what led to its replacement by the neoclassical theory based on an apparently subjective concept such as utility. We know that this is an open question and there are no definitive answers. Usually, historians of economic thought single out one reason and they find evidence against it. In our view, the replacement of the theory of value based on the labour time by the neoclassical was not immediate and took many decades until the classical ideas were set aside. In their first intellectual struggle over the theory of value, neoclassical economists had already established themselves in the 1870s and switched the research agenda towards their theory of value based on utility and gradually incorporating around it issues of public finance and international trade.
In order to deal with this issue, we need to bear in mind the intellectual atmosphere that was developed in the middle of the nineteenth century. We know that during this time period there was a rising concern with the labour theory of value; this was particularly true in the UK during the post-Ricardian period, when the Ricardian labour theory of value found strong support among a number of socialists and, in general pro-labour, economists (e.g. Robert Owen, William Thompson, Thomas Hodgskin, inter alia), who furthermore extended the labour theory of value to its logical, and what is worse (in the sense of attracting discontent from the establishment) to some normative, and, therefore, socially dangerous conclusions. More specifically, these economists argued that since labour creates the value of commodities, it follows that the exchange of commodities should be proportional to labour times. Hence, economists of the post-Ricardian period criticised Ricardo (and the other classical economists) for accepting the capitalist status quo, in the sense that commodities in capitalism do not precisely exchange according to their labour times, and they claimed that since the value of commodities is created by labour alone, it follows that the capitalist’s profit and landlord’s rent are direct deductions from this value, which naturally belongs to workers. In short, there are no moral justifications for the profits and rents, and, therefore, the total sum of values of commodities in a society is created by labour and should belong to workers. This rather normative variant of the labour theory of value gave rise to an anti-capitalist movement. A problem of this sort that was developed within the framework of the labour theory of value (or relative prices) together with the inability of the proponents of such a theory to provide satisfactory answers to certain thorny questions (i.e., the role of demand, the quantity of capital employed, etc.) led to the ‘disintegration of the Ricardian School’. Gradually, many economists abandoned the idea of natural price being determined by permanent forces and instead the gist of their analysis became the idea that the prices of commodities are determined by the ephemeral forces of supply and demand, that is, by competition.
Some historians of economic thought characterise this succession as a silent nonrevolutionary process (Blaug 1983; Hollander 1985). No matter how long it took for this process to fully unfold, its very purpose (stated or not) was to set aside the more realistic classical approach because of its disturbing political implications, especially those emanating from the labour theory of value (price) and its association with Marxism and socialism. The idea that the value of commodities is determined by their labour content was too challenging for a system that underwent a structural transformation. Industrial capitalists, up until the middle of the nineteenth century, were directly involved in the production process in their incessant pursuit of expanding profits as a purpose in itself. The labour theory of value contributed to the understanding of the source of profit as well as the source of incomes for the merchant and the landlord classes. As a result, the labour theory of value was the product of, and at the same time contributed to, the intellectual atmosphere for about a century. However, the growth of corporation and the subsequent concentration and centralization of capital that took place during the depression of 1873–1896 changed the structure of the economy as well as the role of the capitalist. The capitalist’s direct involvement in the production process and other related activities was limited and the management of the newly created large-scale enterprises was transferred to a small group of owners or professionals. As a consequence, the capitalist class was transformed, to a great extent, into a mere recipient of profit incomes by virtue of property rights in a way similar to that of landlords. Naturally, under these new conditions, it became clear that profit income could not find justification in a labour content explanation of equilibrium prices, other than some form of exploitation of labour. This was already explicitly stated by John S. Mill (1848) in his Principles – a text that continued to be popular until the turn of the nineteenth century – where he explains that the ‘cause of profits is that labour produces more than is required for its support’ and concludes that ‘profits arise [...] from the productive power of labour’ (Mill 1848, pp. 416–417).3 Such views were regarded as socially dangerous for the status quo and their dissemination should not be allowed due to their social implications. John B. Clark (1847–1938), for example, reflecting the sentiment of his time illustrates very vividly the socially dangerous consequences that the labour theory of value may exert and notes:
The indictment that hangs over society is that of ‘exploiting labour’. ‘Workmen’ it is said, ‘are regularly robbed of what they produce. This is done within the forms of law, and by the natural working of competition.’ If this charge were proved, every right-minded man should become a socialist; and his zeal in transforming the industrial system would then measure and express his sense of justice. If we are to test the charge, however, we must enter the realm of production. (Clark 1908, p. 4)
This is not to say that the first neoclassical economists were insensitive to social problems and that they did not propose solutions for such problems. For example, J.B. Clark favoured minimum wage legislation, in those cases where the real wage lied below the marginal product of labour (Prasch and Sheth 1999); Walras was in favour of the nationalisation of land and advocated that the rent which would be collected and could be used to replace taxation (see Niehans 1990), Kn€ut Wicksell (1851–1926) was a radical who proposed a fairly revolutionary programme of income redistribution from the rich to the poor, an idea that was reasoned out from the strict application of the principle of diminishing marginal utility of income (see the next section). Furthermore, the first neoclassical economists argued for government intervention in case of externalities and in the USA favoured antitrust legislation. It is important to stress, however, that the first neoclassical economists were always under the spell of the classical economists. For example, the anti-trust legislation was not based on application of the efficiency criteria of the neoclassical theory but rather on wealth-transfer concerns which were not different than those of the classical economists (Hunt 2000, 248–250). The same is true with regard to public finance issues, Schumpeter for example points out,
Smith’s book on public finance [...] was to become the basis of all the nineteenth-century treatises on the subject until, mainly in Germany, the ‘social’ viewpoint – taxation as an instrument of reform – asserted itself’. (Schumpeter 1954, p. 186)
The first neoclassical economists, i.e., the triad Jevons, Menger and Walras initially and subsequently Marshall, J.B. Clark and Bo¨hm-Bawerk, contributed to the creation of a new intellectual atmosphere in which the classical system was found to be unsatisfactory and its replacement by a theory that would legitimise property and emphasise the merits of an exchange economy became imperative although not necessarily urgent. It is important to point out that these ideas were developed in the ‘Victorian Era’, which was a period of steady economic growth and so the demands for a realistic economic theory from policy makers were much more elastic. Whereas, in the period of depression of 1873–1896 both classical and neoclassical theories were in agreement with respect to no government intervention.
The task of the gradual replacement of classical theory by the neoclassical one was accomplished by the architect of the neoclassical economics Alfred Marshall, who was very conscious of the status of the economic discipline of his time and the requirements for its future direction. He realised that more than a century of dominance of classical theory could not just be overthrown in a short period of time and that for the construction of a new theoretical perspective one needs to plan and above all to compromise with the hitherto dominant theory.Some of the corrective compromises that he proposed included the following:
1. The labour theory of value should be reduced to a cost of production theory, with Ricardo being credited as a forerunner of this ‘cost of production’ concept, his only weakness resting in that he was not fully attentive to an analysis of the demand side of the market.
2. The distinction between productive and unproductive labour should be abandoned at some future and more appropriate time (Marshall 1890, p. 54)
3. The notion of competition as a dynamic process of rivalry between firms should give way to the idea of perfect competition and
4. The classical economists’ notion of economies of scale which are the result of competition and division of labour that evolve over historical time must be replaced by the static economies of scale, where time is conceptual (Marshall 1890, Chaps. 9–13).
The lack of realism in this analysis was compensated for by transforming the neoclassical approach into the image of the natural sciences and especially physics. The extensive use of mathematics and also of neutral language that one finds in the writings of the major representatives of this approach served to underscore this purpose (Mirowski 1984).
Hollander’s (1973, 1979, 1985) view is much more extreme as he contends that there was no break between neoclassical and classical economics. In Hollander’s view, Smith, Ricardo (even Marx), Walras and Marshall are all general equilibrium theorists. There are two strands in this general equilibrium theory, the first starting from Walras and Marshall to Samuelson, Arrow and Debreu today, in which the priority is over price determination and that all relevant economic variables are determined simultaneously, and a second strand that starts with Smith, Ricardo, J.S. Mill and continuous with Marx, Sraffa and includes even Keynes. In this strand income distribution takes priority over pricing, where economic variables are determined sequentially starting from a predetermined real wage. As for Blaug, he rather holds an agnostic position by not finding any of the suggested reasons for the ‘marginal revolution’ persuasive enough (see also Dome 1992, pp. 86–89).
As a consequence, with the exception of the general dissatisfaction of the classical theory of value and distribution, we certainly cannot pinpoint any specific single reason that gave rise to the marginal revolution; at the same time, we cannot say that some of the above mentioned reasons should be completely ruled out. We can certainly say that the dominance of the neoclassical theory was not easy and that from the very early stage it faced difficulties and problems of internal consistency that accompany it to the present time.
Salient Features of the Neoclassical Theory
In case we accept that equilibrium prices are determined through the forces of demand and supply, that is, through competition, then a series of vexed questions and problems arise. The major problem is that as supply and demand are determined by different factors; it follows, they are not homogeneous, and, therefore, not comparable to each other. This heterogeneity of supply and demand was pointed out by J.S. Mill (1806–1873), who in his critique of Nassau Senior (1790–1864) argued that a theory of price determination through demand and supply must express both demand and supply in terms of homogeneous units and since it is only then that the two variables are rendered comparable. With respect to demand, the idea was that it depends on utility and, specifically, on what in modern terminology would be called ‘marginal utility’; that is, the utility derived from the consumption of an additional unit of the good in question. It was claimed that as the consumption of a good increases, the satisfaction that a consumer derives from the consumption of successive units of the good in question progressively diminishes. This is known as the ‘law of diminishing marginal utility’.5 Consequently, the consumer would be willing to pay a lower price for higher quantities of the same good. Thus, we may construct a typical demand curve, that is, a schedule between prices and quantities, with a negative slope precisely because it reflects the law of ‘diminishing marginal utility’. The next step is to aggregate these individual demand curves to arrive at the market demand curve.
While the derivation of the demand curve was relatively easy we cannot say the same thing about the supply curve. Economists had accepted the idea that supply is determined by cost. Specifically, wages are determined by the cost of reproduction of workers, rents are determined by the bargaining power of the landlords vs. the capitalists (farmers), whereas profits are determined by the scarcity or the sacrifice of the entrepreneur. Senior, in particular, argued that the sacrifice of the entrepreneur, for example to set up a factory (instead of consuming his savings unproductively) and to operate it is compensated by profit. In this sense, the heirs of the entrepreneur receive rents, since they did not abstain from anything and according to Senior abstainism is the source of profits (Anikin 1975, p. 271). Consequently, with regard to profits the situation was unclear until the emergence of the neoclassical school and the contributions of the three pioneer economists, that is, Stanley Jevons (1835–1882) in England, Carl Menger (1890–1921) in Austria and Le´on Walras (1834–1910) in Switzerland.6 These three economists are considered as the pioneers of a revolution which in economics has come to be known as the ‘marginal revolution’. Research, however, has shown that no such revolution, in the sense of a break with the past, has actually taken place (e.g., Blaug 1983). The basic ideas of the above three economists had already been exposed by Augustin Cournot (1801–1877), Johann Heinrich von Th€unen (1780–1850), Jules Dupuit (1804–1866) and Herman Gossen (1810–1858). It is important to point out that these economists did not develop a fully elaborated theory of equilibrium price determination, but they only had rich insights which could be used for the development of such a theory. In fact, their insights were limited to the marginal utilities and the construction of demand curves and also their optimization analysis according to which total utility is maximised when the marginal gain from the consumption of a good is equal to the marginal sacrifice. The so-called marginal revolution (of Jevons, Menger and Walras) was really a long-lasting process rather than a short period of time so as to call it ‘revolution’ proper. In fact, it took many decades for the marginal ideas to become part of the established economic theory. In other words, the emergence of the ideas of the ‘marginal economists’ constitutes an example of a non-revolutionary change in the history of science.
The ideas of the ‘marginal economists’ gradually formed an integrated theory, which has been called neoclassical economics. The term has been invented by Thorstein Veblen (1857–1929) in his effort to distinguish the ideas of Alfred Marshall (1842–1924), who argued that the ideas of the ‘marginal economists’ are merely the evolution of the classical economists and in this sense they are neoclassical economists. By contrast, the ideas of Jevons, who argued that the ‘marginal economists’ had developed an altogether different theorization and therefore their approach signifies a break from the approach of the classical economists. Aspromourgos (1991) argues that the term neoclassical economics is perhaps not the most appropriate, since it does not do justice to the originality of the ideas of the marginal economists. There is no doubt that there is continuation in the development of economic ideas as economists (although not (Aspromourgos 1991)) deal with the same object of analysis; however, one should not emphasise the similarity, but the difference, since by definition anything new is neoclassical.
The major contribution of the great neoclassical economists, that is Jevons, Menger and Walras, was that they managed to express the cost of production of commodities in terms of negative utility or disutility and in so doing to express cost in terms of a common unit of measurement. More specifically, wages are no longer theorised as the cost of reproduction of workers – clearly, a classical idea – but rather as the disutility that a worker suffers by offering his labour services. Profits are viewed as the disutility of the entrepreneur, who by abstaining from consumption manages to save resources in order to invest them and profits are the compensation for this sacrifice. Rent, on the other hand, was viewed as the compensation for the disutility that the landlord suffers by giving his land to the entrepreneur (farmer) for a certain period of time. If the cost is expressed as disutility, then it can be balanced by the utility of demand. As a result, for the first time, an adequate interpretation of the equilibrium price through the forces of demand and supply was given, since both of these forces could be evaluated through utility (positive or negative). It is important to stress that the notion of utility is intrinsically connected to individuals, since the individuals are those that acquire utility or suffer disutility.
Since the individual becomes the centre of analysis, the question that comes to the fore is how does the individual balance utility with disutility? The answer of the neoclassical economists is that the individual seeks to maximise his utility and in this pursuit he must decide on the quantities of goods that he is going to consume. These decisions depend on the initial endowment (i.e., the stock of goods) that every individual possesses, and the part of the endowment he is going to offer in exchange for other goods. Clearly, the individual suffers disutility when he offers his endowment and enjoys utility in the consumption of goods that he gets through the offer of his endowment. The allocation of endowment is an optimisation problem which may be solved through calculus.
Such an exercise is within a theory of price and quantity determination. In the classical theory as we know these two variables (prices and quantities) are determined separately, while in the neoclassical theory they are determined simultaneously through the forces of demand and supply. In what follows, we start with the model of pure exchange (of two goods) and generalise to the economy with production using the factors of production (labour, land and capital). The generalisation from two goods to any number of goods is conceptually straightforward.
The Model of Pure Exchange Economy
We start from the pure exchange economy, where the individuals seek to maximise the utility that they acquire from the consumption of different goods. The usual real life example is that of ‘prisoners of war camps’ where the individuals receive parcels of goods through the Red Cross, and because of the differences in preferences, individuals exchange the goods that they do not want so much with others who want it more. As individuals increase their consumption, their total utility increases, but successive units of one good give less satisfaction to the individual (‘the law of diminishing marginal utility’ holds). As the marginal utility diminishes with the consumption of more units of a good a point is reached that marginal utility becomes zero, at this point total utility is at maximum. If the individual consumes more units marginal utility becomes negative (disutility) and total utility starts to fall.
The first neoclassical economists thought that the utility that an individual acquires is measurable and for this purpose, they invented an imaginary unit of measurement which they called ‘util’. Since the utility of each and every individual can be measured, then the first neoclassical economists concluded that society’s total utility is a measurable magnitude. This idea, at first sight, was totally innocuous and furthermore it was resolving the problem of what is behind the demand curve. On further consideration, however, the idea of measurable or cardinal utility in combination with the law of diminishing marginal utility gave rise to the radical idea of a totally equitable distribution of income, as a means to achieving society’s maximisation of welfare. The rationale is as follows: assuming that individuals have (approximately) the same utility function and if the law of diminishing marginal utility applies to individuals, then the maximisation of society’s utility is achieved in an absolutely egalitarian society. This conclusion is derived by strict application of neoclassical principles. For instance, the Swedish economist Wicksell argued that if we take income from the rich and we give it to the poor, then the utils lost by the rich people will be much less than the gains in utils of the poor people, and the redistribution of income will stop at the point where the marginal utilities of all people are equal to each other, that is, at the point where the society’s total utility will be maximised. Clearly, such an idea whose logical conclusions and social extensions were competing in radicalism with the ideas of utopian socialists could not last for long. Francis Ysidro Edgeworth (1845–1926) argued that the idea of equitable distribution of income was based on the false assumption that all individuals have the same utility function and he argued that individuals have completely different utility functions. The upshot of his argument was that it is not meaningful, and, therefore, not permissible to compare utilities between people.8 Although there is a support for the social status quo in Edgeworth’s argument, nevertheless it was obvious that there was a problem with the so called ‘cardinal utility’ where the subjectivity of individual comparisons was open to criticisms. Naturally, such an approach could not last for long and the next generation of neoclassical economists made an effort to replace it by a more consistent (with the neoclassical theory) notion of utility.
Indifference curves were invented by Edgeworth and refined by Irving Fisher (1867–1947) and Vilfredo Pareto (1848–1923) initially; John Hicks (1904–1989) together with Roy George Allen (1906–1983) later argued that what we find with the utility function u = u(xi) is essentially not by how much the total utility changes from the consumption of various quantities of goods xi, i = 1, 2, ..., n, but by a combination of goods that are preferred over others.These economists argued that the absolute level of utility is without meaning, and that the ranking of various combinations is what counts in economic theory. Thus, the scale may change; for example, through a monotonic transformation, however, the ranking of combinations of goods remains invariable.
The essential problem in the neoclassical theory is the full utilisation of available means of production, which amounts to the idea that the market is in equilibrium. In the pure exchange economy the individuals are assumed that have made their planned exchanges and that the stock of all available resources are fully utilised, while there are no free goods. In the case of exchange with production, the question that is posed is whether the demand for the services of the factors of production is sufficient to fully employ all of them. Consequently, when we refer to demand for the product, whose production requires the services of the factors of production, the question that comes to the fore is whether the demand is adequate enough to employ all the factors of production that are disposed of in the economy.
From a macroeconomic perspective neoclassical economics refers to the determination of demand and not of supply as is commonly thought. The problem is to find the extent to which the total demand is adequate to fully utilise the initially given stock of goods. As a consequence, our analysis in what follows will be on the demand side starting from the pure exchange economy, where the behaviour of individuals (as consumers) becomes the focus of analysis. In the pure exchange economy, the data of the neoclassical theory are:
1. Consumers’ preferences as they are depicted in the utility functions which are characterised by a special form.
2. The initially given endowments (stock) of goods for which we know their absolute size and the way through which they are allocated to individuals. If for some reason the allocation of the initial endowments changes, say because of a change in preferences, then the prices of commodities change.
In such an economy, it is obvious that we cannot start having the income of individuals given, because income is determined through prices. The only ‘income’ we can hypothesise is that which comes from the initial endowment of the individuals. On the basis of a given set of prices, the individual’s income (m) is the product of his endowment of goods (qi) times their respective prices (pi), thus we have, In other words, we suppose that the individual sells his endowment in the market to get income and then goes again in the market and buys goods that he needs, which might include goods that he had before. Furthermore, we assume zero cost of transactions.
We could continue on the footsteps of the pioneer neoclassical economists based on cardinal (instead ordinal) utility and derive the demand curve. Walras, for instance, hypothesised not only that utility is cardinal but moreover that the utility derived from one good is independent from the utilities derived from the consumption of other goods, and that the individual’s demand for a commodity is a function of the prices of all commodities. Furthermore, total utility is maximised when the marginal utility of income spent on each and every good is equal. The agents of the economy hold only this combination of goods that maximises their utility (Walras [1874] 1954, p. 284; Walker 2007, p. 280).11 Walras, for instance notes
Given two commodities in a market, each holder attains maximum satisfaction of wants, or maximum effective utility, when the ratio of the intensities of the last wants satisfied, or the ratio of their rate´s, is equal to the price. (Walras [1874] 1954, p.125)
In order to be in line with the recent literature, let us suppose an ordinal utility function of two goods in the following general form u = u(x, y), with two goods x and y whose consumption gives a certain level of utility. The movement along the same indifference curve entails substitution of one good for another keeping the total utility constant. The notion of substitutability in consumption (and, as we will examine in the next sections, in production) is absolutely necessary in the neoclassical theory for the derivation of the so-called well-behaved demand and supply curves. Furthermore, the law of diminishing marginal utility must hold. The indifference curves which fulfil certain properties (see Silberberg 1978; Layard and Walters 1981, inter alia) cover the whole space between the axes x and y and as we move northeast we attain higher indifference curves, and, therefore, preferred combinations of goods x and y. As we mentioned the consumer is assumed to sell his initial endowment of goods in the market and to spend all the income (m) he receives in order to buy goods (Fig. 7.1a). The consumer’s budget will be, m = pxx + pyy. Where x and y are the quantities of the two goods, whereas px and py are their respective prices. The individual consumer uses his resources to obtain some other combination of goods x and y, which depends on the prices of goods x and y. Consequently, we end up with the combinations of goods x and y, which represent a straight line (in each straight line, only one combination is relevant, the one tangential to the indifference curve), whose slope is equal to the relative prices of goods x and y and its exact location depends on the level of income.
For example, when the price for good y is p2 individuals want the combination of goods (x2, y1), when the price of good y falls to p1, then consumers would move to a higher indifference curve and attain the combination (x1, y2), and so forth. If we plot these different combinations of optimal prices on the axes of Fig. 7.1b we generate a demand curve with a negative slope indicating the inverse relationship between price and quantity demanded of good y.
The demand curve, which we present in Fig. 7.2a, at the same time, implicitly includes an offer curve. The idea is that, in an economy of two goods x and y the price of good x is the reciprocal of the price of good y, and vice versa, that is px =1/py and py =1/px. The demand for the good x is a function of the price of good y. If the price of good x in terms of y is high, for example, at a price such as at point K of Fig. 7.2a, then none would be willing to buy (that is to offer quantities of good y). Consequently, at point K, the demand for x is zero and consequently the supply of y will be zero, point L in Fig. 7.2b. As the price of x falls, individuals buy more units of good x, which means that they would be willing and able to offer the required units of good y. When the price of x tends to zero, then the offer of good y tends to zero, since good x can be obtained at no cost. The offer curve of good y becomes asymptotic to the axis of prices. As a consequence, when we know the demand for one good, we essentially know the offer curve of the other good.12 The demand for x entails the offered quantity of good y. The individual out of his total endowment of good y offers a portion of it, in order to obtain a portion of good x. This offered quantity of good y is estimated as the product of the price of x times the quantity demanded (pxqx), in terms of Fig. 7.2a, it will be equal to the shaded rectangle. Consequently, the offer of good y is equal to the area found under the demand curve for each particular price of good x.
Let us now suppose an individual possessing an initially given quantity of the two goods and wants to change their composition. The total available quantity of y is qy from which he retains a portion zy for his own use (individual demand) and supplies the rest to exchange it against good x. Thus, we have, oy = pxqx. The offer curve of one good is, at the same time, the demand for the other good. In fact, the offer of good y, at the same time, constitutes the demand for good x. Thus, from the demand curve, we can derive the offer curve of the other good. As Wicksteed (1844–1927) argued, the supply curve is simply the other side of the demand curve.
But what about the ‘supply curve’ that usually figures as a determinant of price, co-ordinate with the demand curve? I say it boldly and baldly: there is no such a thing. When we are speaking of a marketable commodity, what is usually called the supply curve is in reality the demand curve of those who possess the commodity. The so-called supply curve, therefore, is simply a part of the total demand curve [...] The separating out of this portion of the demand curve and reversing it in the diagram is a process which has its meaning and legitimate function [...] but it is wholly irrelevant to the determination of the price [...] It is the single combined curve [total demand] that tells us what the equilibrium will be. The customary representation of cross curves confounds the process by which the price is discovered with the ultimate facts that determine it. (Wicksteed 1914, p. 13)
In Fig. 7.2b, we bring together the offer of good y along with its demand, we observe that a price higher or lower than p* initiates changes that restore equilibrium, for instance, at a price higher than p* the quantity offered is greater than that demanded and the price of good y falls, the converse is true at a price lower than p*. The shape of the offer curve may give rise to no equilibrium at all or multiple equilibrium points. In fact in Fig. 7.2b we draw a second demand curve which intersects the offer curve at three points. From these three potential equilibrium points,
the middle one is certainly unstable and having to choose between the other two, we may conclude that the point which is closer to the previous equilibrium point is more likely to be the (stable) new equilibrium point, we also cannot rule out the cases of tangencies. These possibilities are not explored in any detail by Walras – neither in his book, nor in his 1893 article that has been appended to his book (Walras 1954,) presumably because these cases are considered extreme and thus with no economic interest.
Having derived the demand and offer curves for one individual we can derive the market demand and offer curves by horizontal summation. Clearly, the total offer cannot exceed the initially given endowment of the good in question. The demand and offer curves are put on the same graph (see Fig. 7.3), and we determine the equilibrium point E, where p* and x* are the equilibrium price and quantity, respectively.
The intersection of the offer curve of good i (where i = x, y) with the demand of good i determines the equilibrium price and quantity combination in the market for good i. It is interesting to note that the equilibrium in one market implies the equilibrium in the other market. If, for some reason, the actual price is above the equilibrium price, then supply exceeds demand and the price falls until it becomes equal to the equilibrium price. The converse is true in case where the actual price is below the equilibrium price. Consequently, for each individual the initially given quantity of good i is equal to the sum of his own demand (private demand) and the quantity that he has available for exchange (offer). In other words, the initial stocks of good i are either offered for exchange or they are retained by the individual for his own use. The private demand and supply are functions of price. If we add the equations of all the individuals, we will have:
Qi = Zi + Oi
Where, Qi is the total endowments of good i, Zi the own demand which is a function of price and Oi the total offer which is also a function of price (Fig. 7.3). Suppose now that the price is pi, the own demand is Zi and the market demand is Di. Thus, we could draw an own-demand function, that is, the difference between the offer function and the fixed endowment (see Fig. 7.3). In this analysis what is important is the market demand, that is, the total demand for the commodity of all the individuals in the economy, regardless of whether they offer the good i for exchange or retain a portion of it for their own use. In other words, the total demand is the horizontal summation of all market demand curves (Di) as well as of all own demands (Zi). The total demand curve for good i intersects the total fixed endowment at the same price p* which is determined by the intersection of the individual demand and the individual offer curves. The reason is that only at p* is the total demand of all individuals in the market, that is Di þ Zi, equal to the total endowment of good (Qi). According to this approach we start with the behaviour of individuals and investigate the way in which each individual reacts to prices. We continue by forming the demand and offer curves for each particular individual. If we add up horizontally the demand and offer curves of all individuals, we determine the equilibrium prices and quantities through the equality of offer and demand curves. When we add up these offer curves for the economy as a whole, we arrive at the equilibrium prices.
It is interesting to note that in neoclassical economics relative prices reflect relative scarcities; this essentially stems from the idea of demand for commodities and the given endowments of commodities. Thus the notion of scarcity should not be taken literally but rather in the sense that prices are determined as a relation between demand and fixed endowments.
The analysis until now is based on two types of data: The preferences of consumers and the initially given endowments of goods. There are, however, some other factors which must be taken into account. The first concerns substitutability between goods as we approach the equilibrium point. Let us suppose that there is no substitution, and that the goods are demanded in constant proportions that are independent of prices, which means that the indifference curves are of ‘L’ shape. This would mean that the supply and demand curves would be inelastic. Since with no substitution between goods there is zero elasticity of demand, the demand curve would be vertical. This would imply that the total demand is less than or equal to the available endowments. In the first case, the equilibrium price would be equal to zero; in the second case, the price of the good would be indeterminate. Consequently, the curvature of the demand curve is due to the hypothesis of substitutability between goods for securing a given level of utility.
In the preceding analysis each individual is considered a price taker. In other words, we hypothesised a perfect competition environment, an assumption that characterises neoclassical economics, in contrast with classical economics, where competition refers to the flows of capital and firms compete with each other by reducing their cost and prices in their effort to expand their market share. In neoclassical economics, competition is viewed as a state in which individuals behave as price takers in their efforts to form demand and supply curves, and from there onwards the determination of the equilibrium price and quantity ensues. Consequently, perfect competition is a condition sine qua non for the operation of the pure exchange economy.
A Formal Presentation
Formally, the discussion can be set in the following way (see Creedy 1991, 1999). Let us consider the two individuals A and B, who possess goods x and y, respectively. Let us further suppose that the two demand curves are linear. Starting with individual B his demand for good x, xd is given by
xd = a b (px / py)
Turning to individual A endowed with good x, his demand for good y, yd is given by:
Clearly, the demand of A for good y must be associated with a reciprocal supply of good x by A. If, therefore, A demands yd of y at a relative price of py=px the corresponding supply of good x will simply be:
Setting p = px / py , we may write
Let sx be the endowment of good x held by A. Then it follows that the demand for x by A is given by sx xs. The total demand curve is given by
Setting xD = sx , we can solve for the equilibrium price:
Clearly, students of economics are accustomed to solutions of such equations as the above for the determination of equilibrium pairs of prices and quantities, which may not be unique but multiple. In fact, in our simple model of linear demand equations, we may have three possible solutions from which only one is economically meaningful. From the above discussion two corollaries follow: 1. A change in the stock of good x held by person A, sx, other things held constant, would have no effect on the equilibrium price. While this is mathematically true it is certain though that a change in sx will imply a change in all the parameters of the model. 2. Equilibrium in the market for good x implies equilibrium in the market for good y.
From Pure Exchange to Production
We refer to the structure of neoclassical theory in detail because such an important issue is not discussed with the required attention in books of microeconomics where the reader is introduced directly to the graphics and the optimization techniques. On the other hand, in the texts about the history of economic thought, the emphasis is placed on the contributions of individuals without their synthesis to a single approach. It is important to stress that microeconomic theory is an area that is not subjected to the rapid changes that one observes in macroeconomics. The innovations in microeconomics are really more about techniques of presentation and much less about substantial issues. In short, unlike macroeconomics in microeconomics there has been achieved a consensus among economists. At the same time, we avoid the detailed presentation of either the theory of demand or the theory of the firm, since these issues are treated in detail in the microeconomic textbooks. Let us suppose an economy in which the individuals express their preferences for the various goods through their utility functions. Moreover, the individuals dispose of the quantities of their available resources which consist of quantities of labour and land measured in hours and acres, respectively.
The allocation of endowments is known to the individuals from the beginning. The technology is one of constant returns to scale and it is known to the individuals.
Consequently, the data of the neoclassical theory are:
1. Utility functions (or preferences) of individuals
2. Initial endowment of factors of production (land and labour)
3. Technology
With these data we seek to analyse the production and exchange of goods as an extension and further elaboration of the neoclassical theory of pure exchange economy. The introduction of production in the neoclassical theory indicates a kind of disconnection between the demand (for goods) and the initially given quantities of factors of production. Consequently, instead of the existence of a direct relation between utility and disutility of goods that are consumed there is a disconnection, which means that the notion of production must be formed in such a way as to be capable of being subsumed itself under the model of generalised exchange. As Cassell (1866–1945) remarked:
The demand for commodities is indirectly a demand for factors of production. (Cassel 1918, p. 90) For example, the demand for good x constitutes essentially supply of labour, which in turn constitutes indirect supply of good y. Similarly, the demand for good y is converted to demand for the services of factors of production (land and labour), which are used in the production of such a good, whereas the factors of production are being offered from those that demand good x. Thus, between the consumption of goods and the services of the factors of production that are in the disposal of the individuals mediates production, which is called ‘black box’, precisely because its content is not known.
Nevertheless the basic relation between the maximising of utility subject to the resource endowment continues to be true. The only novelty introduced moving from the pure model of consumption to the model of production is the mediation of the black box, where the available resources (factors of production) are transformed to consumer goods. In reality, production is actually an indirect exchange of the initially given endowment of resources. Alternatively, factors are demanded because of the commodities they produce. In other words, factors are demanded not for their intrinsic worthiness to the other consumers, but rather because they can be converted to consumable goods via production, and it is these utility-yielding goods which are desired by consumers. According to Walras the analysis of production is essentially an analysis of indirect exchange of the services of the factors of production. Consequently, in neoclassical analysis if production is an extension and further elaboration of the model of pure exchange, then the analysis of production must be cast in terms of utility and disutility and in the way in which the decisions are taken by the rationally behaving agents. As in the case of pure exchange, the decisions are taken to the point where the marginal benefit from renting out a factor of production is equal to the marginal sacrifice for parting with the factor of production.
The difference with the analysis of pure exchange economy is in that the endowments of resources include the productive services of the (non-produced) means of production, that is, the services of land and labour. The analysis according to Walras is similar to that of the pure exchange economy with the difference that the goods that individuals demand via their preferences are not available and the goods that individuals offer in terms of services of the factors of production are not those that are demanded in terms of commodities. Hence, these asymmetries need to be corrected by aligning the demand for final goods with the supply of services of the factors of production. This is possible by introducing, in the data of the neoclassical model, the technology which describes the way in which the demand for factors of production is used in the production of goods and services.
In what follows, we suppose an economy where we have an initially given quantity of land and labour. The agents of the economy express their preferences through their utility functions, which convey the fact that the services of labour as well as of land give negative utility. We must connect the supply of factors of production and the production of goods that are demanded and the derived demand for the factors of production. This connexion is possible through the mediation of technology. Moreover, we need to hypothesise that competition forces the entrepreneurs to choose from the set of possible techniques only those that minimise the cost of production, which amounts to the maximisation of profits. In other words, firms decide upon two interconnected questions:
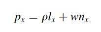
l The choice of technique that minimises the cost of production of goods x and y. The choice of goods x and y as well as the quantities that will be produced. This procedure secures that in a capitalist economy the price of each good will be equal to its cost of production, which is defined by the total sum of wages and rents that must be paid for the services of labour and land. Consequently, the price of good x, px, will be equal to:
Where lx is the quantity of land which is used in the production of a unit of good x; r is the rent per unit of land measured say in acres; w the wage per unit of labour measured say in hours and nx the quantity of labour used for the production of a unit of good x. If the cost of production is different from the price of the product, then counteracting forces are developed that restore the equality. For example, if the price of good x is higher than its cost of production, then the excess profits attract firms in the production of good x, with the result that its supply increases and its price falls to the point where it equals to the cost of production. If, on the other hand, the price of good x is lower than its cost of production then it follows that losses are being made in the production of this good. The subsequent exit of producers reduces the supply of good x and so its price increases to the point that it becomes equal to the cost of production.
These quantities of the factors of production could have been chosen as the cheapest from a variety of available techniques. In what follows, as in the analysis of the pure exchange model, the agents of the economy reveal their choices for each vector of prices [w, r, px, py] presented to them. For reasons of clarity of presentation and economy in space our focus is on the behaviour of a single individual, who is endowed only with the services of labour and who expresses, for each price vector, his intentions with respect to the quantity of labour which he is willing to supply. Consequently, at this point, we have the disposition of the services of land and the quantities of goods x and y, which he is willing and able to purchase. At the same time, however, the supply of the services of land and the quantities of goods that are demanded must be co-ordinated in such a way so that the total supply is equal to the total demand.
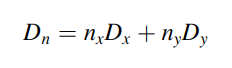
The procedure through which the equality of total demand and supply is achieved is as follows. The total demand for the services of land is determined by the demand for the good x times the quantity of land used in the production of good x. For simplicity’s sake, let us suppose that 1/5 of an acre is being used for a unit of product x. If we suppose the production of 20 units of product x, then this implies that the demand for land will be equal to (1/5)(20)= 4 acres of land. In a similar fashion, we reason out the required quantities of the services of land in order to produce good y. We add up these two demands for land and we get the total demand,
where lx and ly are the quantities of land per unit of product x and y, while Dx and Dy the quantities demanded of goods x and y respectively. Similarly, for the demand for the services of labour we have:
Hence, we arrive at what Marshall (1890, pp. 317–318) calls derived demand for labour, which stem from the demand for goods x and y. As in the analysis of indifference curves with two goods (x and y), now the factors of production (land and labour) are used in different combinations for the production of a given quantity of output. The curves that are formed by these different combinations of land and labour are called isoquants and they are similar to the indifference (or isoutility) curves. However, there is an essential difference: in the isoquants we have measures expressed in real quantities that are produced from different combinations of factors of production, whereas, in the analysis of consumption the indifference curves because of their subjective character are measured only relatively and not cardinally.
The role of substitution so crucial in the analysis of the pure exchange model is also extremely important in the analysis of production. In fact, substitutability is the property that gives rise to the specific shape of the isoquant curves. If there were no substitution, then the isoquants would be L-shaped. The choice of technique in the production is expressed in terms of cost minimisation, where the cost is equal to the value of services of the factors of production that are used in the production process .
Together with the isoquants, we have the isocost curves which are given by the price equation px = plx + wnx. The discussion is similar to that of budget line and indifference curves, that is, the further out to the right we extend, the higher the level of output that can be produced by the combination of the two factors of production. If, for instance, we want to produce a given level of output, then we must reach the lowest isoquant curve which is just tangent to the isocost line. Consequently, the slope of the isocost curve, which is equal to the relative price of land and labour, leads to the appropriate (cost minimising) combination of labour and land. If the relative prices of land and labour changes then we would arrive at a different combination of the two factors of production. The property of substitutability between the factors leads to the formation of a demand function for the services of factors of production with some elasticity.
The idea of substitutability between the services of factors of production is the result of a given quantity of factors of production; consequently, the increase of the one implies the decrease of the other. The problem can be expressed as follows: Let us suppose that we have a given quantity of land and employ more and more labour. In the beginning, the produced output increases linearly, since a small number of workers uses only a portion of the available land. Consequently, the optimal landlabour ratio, l/n, is maintained. As the quantity of employed labour increases with the given quantity of land, a point is reached where all land is being used and if the number of workers continues to increase, then the output per worker (productivity) falls. The cause of this fall must be found in that we are forced to use a land-labour ratio which is no longer optimal. Consequently, the marginal product of labour begins to diminish.
The substitution procedure is intrinsically connected to the construction of demand functions from the services of factors of production and the substitution of the factors of production presupposes that all the factors of production are fully utilised (employed). If there were no full utilisation, then simply we could not choose the optimal ratio and maintain it. When we drew the demand curve, we supposed the substitution between labour and land and that one factor of production (land) was fully utilised. After all, if land were not fully utilised there would be no need for substitution.
Let us now suppose that the demand for labour Dn falls short of the supply of labour (Dn < On). We further suppose a fall in the wage in order to bring equilibrium in the labour market. This fall in the wage leads to a fall in the prices of the two goods. If we suppose the general case, where goods x and y are produced in different proportions of land and labour it follows that the reduction of prices of goods x and y will not be proportional. We suppose that the production of good x is landintensive while the production of good y is labour-intensive. Consequently, the fall in wage will affect the production of good y more than the production of good x. Consequently, the relative price px/py between the two goods will rise since the price of y will fall by more than the price of x. This change will lead to an increase in demand for good y, because it is relatively cheaper and in a reduction of the demand for good x. Consequently, the demand for labour in the production of labourintensive good y increases and the demand for labour for the production of good x falls. The net result will be an overall increase in the demand for labour.
Until now we assumed an economy of fixed input–output coefficients, an assumption that was made by the first neoclassical economists especially by Walras.17 However, in neoclassical theory we know that substitutability is continuous and if the relative factor prices change it follows that firms would move to another technique. Thus in our case, since the wage falls it follows that a new labour-using and land-saving technique will be adopted. Consequently, the increase in the demand for labour will be reinforced since the new technique uses more labour in the production of both goods. The above lead to a demand curve for labour, which is derived from the characteristics of the maximisation of utility from the good x via the technology. Thus we can construct a demand curve for labour which is derived from the characteristics of maximisation of consumer’s utility as well as of the technology. The technology transforms the demands for goods to derived demands for the services of factors of production. Consequently, we can define an equilibrium point in the labour market, since we suppose the equality between price and cost of production. This implies that the quantity supplied will be equal to the quantity demanded. The analysis until now has shown that the model of the economy with non-produced means of production is essentially an extension and further elaboration of the model of the pure exchange economy.
Many neoclassical economists argue that the supply curves are technological phenomena. In reality, however, this is not so, since the offer curves constitute a relation between price and quantity. The price is a measure of disutility of the disposition of the factors of production that are going to be employed in the production of the good, in the sense that the supply curves are produced by technology and that the technology is supposed to have a special form. The offer curve constitutes a schedule of subjective cost. Marshall (1890, p. 282) called it the real cost and he meant the subjective cost, in the sense that he referred to the disutility (sacrifice) of the disposition of factors of production.
We observe that in the neoclassical analysis prices and quantities are intrinsically connected, whereas in the classical model, the output is a datum in the analysis of the determination of prices. In the neoclassical model prices and quantities are functionally determined and cannot be separated. The structure of the neoclassical theory gives the impression that economics refers to scarcity, but essentially this is not so, since neoclassical economics refers to the optimising behaviour of the agents. Consequently, we have a relation between price and quantity. The price is determined by the forces of demand and supply and by the supposition that there is full utilisation of resources in the economy. This does not necessarily mean that all the available services of labour are fully employed but rather that only the disposable services of labour are employed. There are services of labour, which could have become available for employment, but they are not, their owners (workers) withhold them because at the going wages they would rather increase their leisure instead of their working time.
The same argument applies with respect to the services of land (some of it may be held say for gardening). Again there is an offer curve for the services of land, which is derived in a way similar to that of labour. If land is not fully employed this is because the owners of land think that this is the best they can do, since an increase of supply will reduce the price of land. It is true that in questions of this sort it is hard to come up with good answers. The analysis could be expanded to encompass capital goods, the characteristic of which is that they are produced means of production, that is, they possess characteristics of consumer goods and so their price is determined by the cost of production and also the characteristics of factors of production and their prices are determined by their marginal productivity. The question is, to what extent are these two characteristics of capital goods compatible with each other? The neoclassical view argues that there is no problem with the dual role of capital goods and that the analysis of land can be straightforwardly generalised. This point of view is shared by economists at Cambridge Massachusetts and the exact opposite view is held by economists at Cambridge England, who initiated the famous debate in the decade of 1960s.
Summary and Conclusions
Our discussion of the neoclassical theory began with the historical circumstances that gave rise to this school of economic thought. We argued that the neoclassical theory has the determination of natural or normal prices as its object of analysis. We introduced the pure exchange economy, which is entirely hypothetical, in as much as no economy can survive without production. In this pure exchange model, we had as givens the preferences or utility functions of individuals as well as their initial endowment of goods. We assumed a simple version of pure exchange economy of two goods and that individuals maximise their utilities subject to the constraint of their endowment and in doing so we could derive the individual demands from which we could correspond the individual offers and putting them together we could determine the equilibrium pairs of prices and quantities in each market. On the basis of this analysis we derived Walras law and explained its differences from Say’s law.
The next step was to leave the hypothetical world of pure exchange and move to the more realistic but still hypothetical model of non capitalist production. We say non-capitalist production because the issues associated with the introduction of produced means of production, that is capital, are postponed to the next chapter. So in this chapter we discussed production abstracting from capitalism by restricting ourselves to non-produced means of production, that is, labour and land. In this model of production we argued that the fundamental relation of the pure exchange model continue to hold true. The difference is that in this model there is the mediation of the ‘black box’ of production, where individuals offer the services of the factors of production and they demand goods. The first neoclassical economists argued that the demand for goods decide about the offer of the services of the factors of production. In other words individuals do not demand directly the services of labour or land but through their demand for goods. And the services of the factors of production are transformed to goods that are being demanded. We observe, that production is the indirect exchange of the initially given resources. Walras observed that the analysis of production is simply the analysis of indirect exchange of factors of production, and he further suggested that one could even abstract from entrepreneurs and simply consider the productive services as being, in a certain sense, exchanged directly for one another instead of being exchanged first against products and then against production services.
Moreover, Walras showed that the analysis of the exchange of two goods in a competitive economy, can be extended to include the whole theory of production and distribution of social wealth. Consequently, if production in the neoclassical approach is viewed as continuation and extension of the model of pure exchange, then it follows that it must be conducted in terms of utility and disutility as well as their optimization subject to constraints.
With the exception of Marshall all the first neoclassical economists developed first the notion of pure exchange and then the notions of non-capitalist production and exchange. Wicksell (1934) noted that the analysis of pure exchange and noncapitalist production is unrealistic. The idea is that these models help to the development of the notions and methods of analysis of a capitalist society. In other words, they constitute the prelude to our object of analysis, that is, the determination of equilibrium, relative prices and the rate of profit associated with these. The usual, mostly mistaken, critiques of the neoclassical theory include:
1. In the neoclassical theory everything depends on something else and because of the interdependence we cannot determine the normal prices of goods and services.
In reality, however, in neoclassical theory there is a strictly determined causal relation that is based on the maximisation of utility of individuals subject to the constraint of endowment and it determines the relative prices in a perfectly competitive economy. There is no doubt that despite the complexity there is a fully determined causal relation. For example, Walras notes:
[...] the utility curves and the quantities possessed constitute the necessary and sufficient data for the establishment of current and equilibrium prices. From these data we proceed, first of all, to the mathematical derivation of individual and aggregate demand curves in view of the fact that each party to an exchange seeks the greatest possible satisfaction of his wants. And then, from the individual or aggregate demand curves, we derive mathematically the current equilibrium prices since there can be only one price in the market, namely the price at which total effective demand equals to total effective offer. (Walras 1874, p. 143)
On further consideration, we should bear in mind that the logical consistency of the neoclassical model is the characteristic that made possible its wide acceptance and even its dominance over the classical model.
2. The neoclassical theory refers essentially to exchange and not to production This is not true, since in neoclassical theory deals with production although such an analysis is translated to indirect exchange. For example, the problems of the labour process can be defined in terms of maximising utility and in terms of the choices of businesses and workers (see for example Steedman 1981). The emphasis on exchange does not mean that neoclassical economists undermined production, it only means that even production is viewed as a process of indirect exchange, where consumers demand the services of the factors of production not directly but only through their demand for goods. What is essential about neoclassical theory is that production is subjugated to exchange, not that neoclassical theory does deal with production.
3. The neoclassical theory is static The neoclassical theory often gives the impression that time is spirited away. The truth though is that time often is left out of analysis for reasons of simplicity and not that time is not important or that is not accounted for in the neoclassical theory. In the next chapter where we deal with the model of production with capital, we will see how time is incorporated in the neoclassical analysis even from the writings of the first neoclassical economists. One could criticise the neoclassical theory for the way time is being treated but not that the neoclassical analysis is necessarily timeless.
4. The neoclassical theory is a subjective theory This is true since utility in neoclassical theory is subjectively determined by the consumer, and not by the intrinsic properties of the good, in the sense that scarcity is something, which is subjectively conceived by the individual and not necessarily an objective fact.
In our presentation of the structure of the neoclassical theory we referred exclusively to the non-produced means of production (labour and land) and we considered that the produced means of production (capital) have a similar theorization. In reality, however, the embodiment of capital in the neoclassical theory creates a number of problems that led to the famous capital controversies of the 1960s
By: Jyoti Das ProfileResourcesReport error
Access to prime resources
New Courses