send mail to support@abhimanu.com mentioning your email id and mobileno registered with us! if details not recieved
Resend Opt after 60 Sec.
By Loging in you agree to Terms of Services and Privacy Policy
Claim your free MCQ
Please specify
Sorry for the inconvenience but we’re performing some maintenance at the moment. Website can be slow during this phase..
Please verify your mobile number
Login not allowed, Please logout from existing browser
Please update your name
Subscribe to Notifications
Stay updated with the latest Current affairs and other important updates regarding video Lectures, Test Schedules, live sessions etc..
Your Free user account at abhipedia has been created.
Remember, success is a journey, not a destination. Stay motivated and keep moving forward!
Refer & Earn
Enquire Now
My Abhipedia Earning
Kindly Login to view your earning
Support
INTRODUCTION ;
Being students of economics, we would like to know how to assess the economic performance of a country. Here, one of the first indicators that comes to mind is the growth rate of the country. Rapid growth somehow seems to suggest that the people of that country would benefit through improvement in the standards of living. Historical experience does not establish that this relationship holds invariably and automatically. Rapid growth iniplies an increase in average per capita income. There is, however, no automatic mechanism by which the actual incomes of everyone in the economy increase. In other words, there could be problems of possible increase in inequality in new distribution of income, for instance, which prevents the translation of economic growth into general improvements in the standard of living of the people. Therefore, in order to assess the performance of any country, one needs to go beyond the performance in terms of growth rates.
One of the broad concepts that evolved so as to capture changes in the economy beyond ecollomic growth is that of 'development'. While this is a very broad concept, the key element of economic development is that people of the country being major participants in the process of changes in the ecbnomy as well as in the enjoyment of benefits flowing from the changes. For instance, Indian economy has made rapid strides in the area of industrial develop!!ent in the past few decades. The production of steel ingots has increased from less than 1.5 million tons to more than 15.5 million tons between 1950-5 1 and 1995-96. During the same period the production of machine tools, cotton textile machinery, cotton cloth, sugar, tea, vanaspati have all shown a sharp increase. At the same time it is also known that nearly 36 per cent of the population in 1993-94 lived below even the minimum norm of income called poverty line. The benefits of economic growth thus seem to have bypassed a significant proportion of the population. In order to evaluate a country's development performance, therefore, one can use measures of the extent to which people in the country receive the benefits of the development process.
The first step in this direction is to look at indicators of poverty and inequality. These, in a sense, seek-to measurelcapture the access of people to the basic necessities , of life, from the purchasing power side. An alternative approach is to look at the country's performance in terms of various social indicators - the main indicators usually relate to health and education sectors. The idea here is to measure the actual access to these services. Indicators such as Physical Quality of Life Index (PQLI) and Human Development Index (HDI) MI in this category. The above characterisation of the process of development provides an alternative . way of assessing the development performance. This is derive8from the first part of the characterisation, which is people being the major participants in the process of change. For this to be realised, they should have minimum "capability". This is the basis for the third approach - which takes the form of Capability Poverty Index (first introduced in Human Development Report, 1996). Capability is sought to be captured in terms of three major indicators - avoidable morbidity, education, and health in the form of nourishment. The indicators here differ from the ones used in the earlier indices in that the former measure availability of or access to the service, while the latter seek to capture the proportion of the population that is actually deprived of these services. In this sense this index is an alternative way of measuring poverty, , a fact that is amply captured in its name. This unit presents a discussion of these various indicators of human development, and comparative picture'of how India performs on these indicators, when compared * to other developing economies.
TYPES OF SOCIAL INDICATORS
To begin with, it would be usehl to get familiar with the problems associated with using per capita GNP as a measure of development. The inability of this indicator to capture the problems arising from inequality in distribution of income is not the only dra\vback. One of the major criticisms arises from the fact that the figures for GNP do not include non-marketed andlor non-priced activities. This includes, among other things, a significant part of the homemakers' work. This has two implications: first and more obvious implication is that this would result in the underestimation of the level of GNP. Over time, however, the activities, which were formerly not markctcd. enter the market. To give an example. consider nursing. Attending to the sick an activity of the household itself. But today. this service is a part ol' 11ic 11i;irhct. Not only does one pay for the service in hospitals and nursing hon~cs. orlc can eve11 obtain the service for an invalid at home. Such changes imply that comparison of the levels of per capita GNP over time could yield misleading information on the underlying standards of living. This problem also implies that using per capita GNP for inter-country comparisons too could be misleading if the countries have differences in the extent of marketed services and goods. As a result, there have been numerous efforts both to remedy these defects in the use of per capita GNP as a measure of the level of development, and to create other composite indicators that could serve as compliments or alternatives to this traditional measure. Basically, such indicators fall into two groups: those that seek to measure development in terms of a "nom~al" or "optimal" pattern of interaction among social, economic, and politics! factors and those that measure development in terms of quality of life. In all of these studies, the approach has been to assess the performance of the country in some key sectors : sectors, which are considered an integral part of any analysis of standards of living. Two of the key sectors used are education and health.
PQLI and HDI are the two most popular measures of development, besides per capita income. Over the years, PQLI appears to be not much in use for regional comparisons, especially after the introduction of HDI. While PQLI considers only the physical variables—adult literacy, life expectancy at birth and infant survival rate, HDI has life expectancy at birth, educational attainment and real GDP per capita (PPP$). PQLI and HDI are similar, the main difference between the two being the inclusion of income in HDI and exclusion of the same from PQLI. In a sense, HDI represents both physical and financial attributes of development and PQLI has only the physical aspects of life. The present author took the lines of PQLI to express development in terms of physical variables and considering development as a multidimensional phenomenon. On the measurement of certain aspects of social development, Social Indicators Research. The Netherlands: Kluwer Academic Publishers.] included as many as 13 physical variables to represent social development across 40 countries; no financial variable was included in the construction of composite index, termed as the Social Development Index, SDI.
Incidentally, like PQLI, SDI was introduced before HDI. Unlike PQLI and HDI,
SDI considers (i) a large number of indicators representing various concern areas and
(ii) a set of objective methods for combining the development indicators as a composite index. Ray (1989) has been restated and updated in this article with newer cross-country information. In the present study,
SDI has been constructed for over 102 countries, including 21 OECD countries, using 10 development indicators, instead of 13 indicators in the past. Apart from presenting objective methods for combining indicators into SDI, the present study asserts that SDI works better than HDI as a measure of development for an international comparison.
Physical Quality of Life Index
Rapid economic growth raised average living standards in many countries around the globe in the 1960s and the early 1970s, but inequality also emerged as an issue. Prosperity bypassed large segments of the population, especially in developing countries, which stimulated a search for meaningful measures of poverty that were readily calculable. Some people saw progress in the segments of the population that lacked essential human needs, such as clean water, basic medical care, suitable housing, and adequate calories. Although interesting and useful, this approach also required considerable survey evidence, which was expensive and often unreliable.
At the behest of the Overseas Development Council, Morris David Morris created the physical quality of life index (PQLI), which assessed conditions in a country from its infant mortality rate, adult literacy rate, and life expectancy at age one (Morris 1979). Nearly all countries routinely reported these data by the 1970s.
The technique first scales each ingredient from 0 to 100, with the end points set to capture the range of historical experience. The infant mortality rate extends from a high of 229 to a low of 7 per thousand (a span of 222); life expectancy at age 1 from a low of 38 to a high of 77 years (a span of 39); and the literacy rate from 0 to 100 (a span of 100). For example, the index value of life expectancy = (100) (life expectancy – 38)/39, which means that an increase in life expectancy of 0.39 years raises the index value by 1 point. Then the indexes of the components are averaged to obtain the overall PQLI.
In principle one could use the PQLI in much the same way as any measure of human welfare, including policy design and assessment, or as a phenomenon to be explained by economic or social models. Econometric work, however, has been limited, in part because imitators and successors have crowded the field. Although the PQLI was designed as a minimal measure of social performance and partly as an antidote to undue emphasis on gross national product (GNP) per capita, its critics have noted that health is counted twice (infant mortality and life expectancy at age one are highly correlated) and that the index omits the material side of the quality of life. Soon other indexes appeared, some with more than 40 components or indicators, including crime, pollution, and suicide rates.
Among these, the Human Development Index (HDI) of the United Nations has been the most widely discussed and applied. Created by the economist Mahbub ul Haq in 1990, this index was designed to register the “expansion of choice” provided by good health, knowledge, and access to material goods (United Nations Development Programme 1990). It soon was criticized for lack of attention to inequality and for incorporating a poor measure of knowledge. Thus researchers continue to debate the components of quality of life indexes and the weights that should be given to each. What is suitable, however, depends heavily on how the index will be used.
One of the early studies on the first group of composite indicators was carried out by the United Nations Research Institute on Social Development (UNRISD) in 1970. The study was concerned with the selection of the most appropriate indicators of development and an analysis of the relationship between the'se indicators at different levels of development. The result was the construction of a composite social develbpment index.
These indicators were selected on the basis of their high inter-correlation to form a development index using weights derived from the various degrees of correlation. The development index was found to correlate more highly with individual social and economic indicators than per capita GNP correlated with the same indicators. Rankings of some countries under the development index differed from per capita GNP rankings. It was also found that the development index was more highly correlated i with per capita GNP for developed countries than for the developing countries. The i study concluded that social development occurred at a more rapid pace than economic development up to a level of $500 per capita income (1960 prices). Another study that sought to measure development in terms of a pattern of interaction 1 among social, economic, and political factor was conducted by Irma Adelman and Cynthia Morris, who classified 74 countries according to 40 different variables relating to these aspects. Factor analysis was used to examine the interdependence between social and political variables and the level of economic development to arrive at a1 measuring yardstick. The researchers found numerous correlations between key variables and economic development. This approach of factor analysis is based on an underlying normative assumption that there is a unique path of development.
The performance of the developing countries is, therefore, sought to be judged in terms of the path traced by the devehpeci countries. There seems to be no logical or historical justification for this assumption. Furthermore, there is usually an emphasis on measuring inputs, such as the number of doctors or hospital beds per 1000 population or enrolment rates in primary schools to measure health and education, when outputs, such as life expectancy and literacy, are the actual objectives of development. This would not be a fallacy if the underlying "production function" transforms all 'inputs' into 'outputs'. But this is rarely the case. The figures of number, of doctors per 100 population, for instance, would normally be concealing the differences in the levels between rural and urban areas, or between backward and advanced pockets of the same country. In response to these criticisms, several studies have sought to develop composite indicators that measure development in terms of meeting the basic needs of the majority of the population or in terms of quality of life.
The Overseas Development Council (then under the leadership of Jim Grant) developed and publicized a measure of (physical) quality of life (the PQLI) many years ago. It combines literarcy rate, infant mortality rate, and life expectancy, using scales from the lowest to the highest values in the global system. It weights the three scales equally. The literacy rate is, in turn, a function of the per capita spending levels on education, estimated cross-sectionally. In many respects the PQLI was a predecessor of the Human Development Index (HDI).
Based on country/region-specific Physical Quality of Life, it is possible to compute world quality of life (WPQLI) and the North-South gap in quality of life (NSPQLI). Given country-specific literacy rates, it is also possible to compute world literacy (WLIT).
The Physical Quality of Life Index (PQLI) One well-known endeavour in this area was Morris D. Morris's development of the Physical Quality of Life Index (PQLI). Three indicators were used to form a simple composite index: 1) Life expectancy at age 1; 2) Infant mortality rate; and 3) Literacy rate. For each indicator, the performance for individual countries is rated on a scale of 1 and 100, where 1 represents the worst performance by any country and 100 the best performance. For life expectancy, the upper limit of 100 was assigned to 77 years (achieved by Sweden in 1973) and the lower limit of 1 was assigned to 28 years (the life expectancy of Guinea-Bissau in 1950). Within these limits, each country's life expectancy figure is ranked from 1 to 100. For example, a life expectancy of 52, midway between the upper and lower limits of 77 and 28, would be assigned a rating of 50. Similarly for infant mortality, the upper limit was set at 9 per 1,000 (achieved by Sweden in 1973) and the lower limit at 229 per 1,000 (Gabon, 1950). Literacy rates, measured as percentages from 1 to 100, provide their own direct scale. Once a country's performance in life expectancy, infant mortality, and literacy has been rated on the scale of 1 to 100, the composite index for the country is calculated by averaging the three ratings, giving equal weights to each. Although the study found that countries with low per capitaGNP tended to have low *PQLIs apd countries with high per capita GNP tended to have high PQLIs, the correlatioiis between GNP and PQLI were not substantially close. Some countries n, with high per capita GNP had very low PQLIs - even below the average of the poorest countries. Other countries with very low per capita GNP had PQLIs that were higher than the average for the upper-middle-income countries.
Table 2 provides a sample of the Third World countries ranked both by per capita incomes and PQLIs in the early 1980s. The data seem to hdicate that significant improvtments in the basic quality of life can be achieved before there is any great rise in the per capita GNP or, conversely, that a higher level of per capita GNP is not a guarantee of a better quality of life. Note in particular the wide PQLI variations for countries with similar levels of per capita income such as Angola and Zimbabwe, China and India, Tanzania and Gambia, Taiwan and Iraq. Most striking contrast is that between Saudi Arabia and Sri Lanka.
The Human Poverty Index (HPI) was introduced in 1997, and is a composite index which assesses three elements of deprivation in a country – longevity, knowledge and a decent standard of living.
There are two indices; the HPI – 1, which measures poverty in developing countries, and the HPI-2, which measures poverty in OCED developed economies.
HPI-1 (for developing countries)
The HPI for developing countries has three components:
As a region of the world, Sub-Saharan Africa has the highest level of poverty as a proportion of total population, at over 60%. The second poorest region is Latin America, with 35% of its population living in poverty.
HPI-2 (for developed – OECD countries)
The indicators of deprivation are adjusted for advanced economies in the following ways:
Disadvantage of HPI:
Limited utility, because it combined average deprivation levels for each dimension and thus could not be linked to any specific group of people.
Current Status:
The HPI was replaced in 2010 by the Multidimensional Poverty Index or MPI – which directly measures the combination of deprivations that each household experiences. It complements traditional monetary-based poverty measures by capturing the acute deprivations that each person faces at the same time with respect to education, health and living standards.
Multidimensional Poverty Index (MPI)
The MPI assesses poverty at the individual level. If someone is deprived in a third or more of ten (weighted) indicators, the global index identifies them as ‘MPI poor’, and the extent – or intensity – of their poverty is measured by the percentage of deprivations they are experiencing.
Thus, from the figure above, the relative weights of the dimensions are: Health (1/3), Education (1/3), Standard of Living (1/3). There are two indicators each for health and education. Therefore, each indicator contributes 1/2 of 1/3 [that is, 1/2*1/3] or 1/6 of the total weight for the corresponding dimension. Standard of living has six indicators, each contributing 1/6 of 1/3 [that is, 1/6*1/3] or 1/18 of the total weight for the dimension.
The global MPI can be used to create a comprehensive picture of people living in poverty, and permits comparisons both across countries and world regions, and within countries by ethnic group, urban/rural area, subnational region, and age group, as well as other key household and community characteristics. For each group and for countries as a whole, the composition of MPI by each of the 10 indicators shows how people are poor.
Human Poverty Index by the United Nations
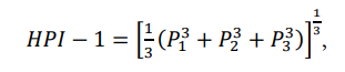
The Human Poverty Index (HPI) was developed by the UN to complement the Human Development Index and was first reported as part of the Human Development Report in 1997. It served as an additional measure of the standard of living in a country. It must be noted, however, that in 2010, the HPI was substituted by the UN's Multidimensional Poverty Index (UNDP, 2013). Nevertheless, before 2010, the HPI was computed separately for developing countries (HPI-1) and developed countries (HPI-2) (United Nations, 2008). The HPI-1 is defined as "a composite index measuring deprivations in the three basic dimensions captured in the human development index — a long and healthy life, knowledge and a decent standard of living" (United Nations, 2008). The formula for calculating HPI-1 is as follows:
where
P1 - Probability at birth of not surviving to age 40,
P2 - Adult illiteracy rate,
P3 - Unweighted average of population without sustainable access to an improved water source and children who are underweight for their age.
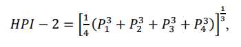
The HPI-2 is defined as "a composite index measuring deprivations in the four basic dimensions captured in the human development index — a long and healthy life, knowledge and a decent standard of living — and also capturing social exclusion" (United Nations, 2008). The formula for calculating the HPI-2 is as follows:
P1 - Probability at birth of not surviving to age 60,
P2 - Adults lacking functional literacy skills,
P3 - Population below the income poverty line (50% of median adjusted household disposable income),
P4 - Rate of long-term unemployment (lasting 12 months or more)
In this study, we measure area-specific poverty in the EU. To this end, we propose measuring poverty at the sub-national level defined by NUTS 2. The measurement of poverty is carried out with the use of the UN approach, namely the Human Poverty Index for developed countries (HPI2). Although the index is currently not computed, we decided to adopt this approach following Bubbico and Dijkstra’s (2011) study to measure poverty in the EU at the NUTS 2 level in 2007/2008. The changes that we introduced are in the set of indicators. Those used in the approach of the UN are neither appropriate nor available at the NUTS 2 level for the EU. At this point, it must also be noted that our objective was to keep the index simple, i.e., with a limited number of indicators, but also statistically sound. In our approach, the composite measure of poverty is assumed to have the following dimensions: a long and healthy life, knowledge, a decent standard of living, and social exclusion. These dimensions are believed to be non-compensatory in nature, which implies that an improvement in one dimension cannot fully compensate for equal deterioration in another dimension. The dimensions of poverty are summarised and fitted into a composite indicator, namely, the Regional Human Poverty Index (RHPI). The final set of indicators is presented in Table 1. The spatial distribution of poverty with respect to each of the poverty dimension at NUTS 2 in the EU is presented in Figures A1-A4 in the Appendix.
The Human Poverty Index (HPI) is an indication of the standard of living in a country, developed by the United Nations (UN) to complement the Human Development Index (HDI) and was first reported as part of the Human Development Report 2007. It was considered to better reflect the extent of deprivation in developing countries compared to the HDI. In 2010, it was supplanted by the UN’s Multidimensional Poverty Index.
The HPI concentrates on the deprivation in the three essential elements of human life already reflected in the HDI: longevity, knowledge and a decent standard of living. The HPI is derived separately for developing countries (HPI-1) and a group of select high-income OECD countries (HPI-2) to better reflect socio-economic differences and also the widely different measures of deprivation in the two groups.
By: Jyoti Das ProfileResourcesReport error
Access to prime resources
New Courses