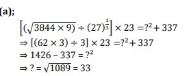
Multiple Choice Questions on radic 3843 9 times 9 09 divide 26 99 1 3 times 23 012 2 336 97 ........ for Insurance Services Examination Preparation

Back to Main Page

Multiple Choice Questions

radic 3843 9 times 9 09 divide 26 99 1 3 times 23 012 2 336 97 ........

What our students have to say
Download Abhipedia Android App

Access to prime resources

Downlod from playstore
download android app download android app for free